Banking (prudential standard) determination No. 7 of 2022
Prudential Standard APS 113 Capital Adequacy: Internal Ratings-based Approach to Credit Risk
Banking Act 1959
I, John Lonsdale, a delegate of APRA:
(a) under subsection 11AF(3) of the Banking Act 1959 (the Act) REVOKE Banking (prudential standard) determination No. 6 of 2012, including Prudential Standard APS 113 Capital Adequacy: Internal Ratings-based Approach to Credit Risk, made under that determination; and
(b) under subsection 11AF(1) of the Act DETERMINE Prudential Standard APS 113 Capital Adequacy: Internal Ratings-based Approach to Credit Risk, in the form set out in the schedule, which applies to all ADIs and authorised NOHCs to the extent provided in paragraphs 2 to 4 of the prudential standard.
This instrument commences on 1 January 2023.
Dated: 8 December 2022
[Signed]
John Lonsdale
Chair
APRA
Interpretation
In this instrument:
APRA means the Australian Prudential Regulation Authority.
ADI and authorised NOHC have their respective meanings given in section 5 of the Act.
Schedule
Prudential Standard APS 113 Capital Adequacy: Internal Ratings-based Approach to Credit Risk comprises the document commencing on the following page.

Capital Adequacy: Internal Ratings-based Approach to Credit Risk
Objectives and key requirements of this Prudential Standard This Prudential Standard sets out the requirements that an authorised deposit-taking institution that has, or is seeking, approval to use an internal ratings-based approach to credit risk must meet, both at the time of initial implementation and on an ongoing basis. The key requirements of this Prudential Standard are that an authorised deposit-taking institution must:
|
Previous exercise of discretion
Attachment A - IRB risk-weight functions
Attachment B - Risk components for each asset class
Attachment C - Treatment of expected losses and provisions
Attachment D - Minimum requirements for the use of an IRB approach
Attachment E - Requirements for recognition of collateral and credit risk mitigation
Attachment F - Risk-weighted assets for purchased receivables
Attachment G - Supervisory slotting criteria
2. This Prudential Standard applies to authorised deposit-taking institutions (ADIs) that are seeking, or have been approved, to use an internal ratings-based (IRB) approach to credit risk for the purpose of determining the Regulatory Capital requirement for credit risk.
3. A reference to an ADI in this Prudential Standard, unless otherwise indicated, is a reference to:
(a) an ADI on a Level 1 basis; and
(b) a group of which an ADI is a member on a Level 2 basis.
4. If an ADI to which this Prudential Standard applies is:
(a) the holding company for a group, the ADI must ensure that the requirements in this Prudential Standard are met on a Level 2 basis, where applicable; or
(b) a subsidiary of an authorised non-operating holding company (authorised NOHC), the authorised NOHC must ensure that the requirements in this Prudential Standard are met on a Level 2 basis, where applicable.
5. This Prudential Standard commences on 1 January 2023.
6. Terms that are defined in Prudential Standard APS 001 Definitions appear in bold the first time they are used in this Prudential Standard.
7. Where this Prudential Standard provides for APRA to exercise a power or discretion, the power or discretion is to be exercised in writing.
8. In this Prudential Standard, unless the contrary intention appears, a reference to an Act, Regulations or Prudential Standard, is a reference to the Act, Regulations or Prudential Standard as in force from time to time.
9. APRA may adjust or exclude a specific prudential requirement in this Prudential Standard in relation to one or more specified ADIs or authorised NOHCs.[1]
Previous exercise of discretion
10. An ADI must contact APRA if it seeks to place reliance, for the purposes of complying with this Prudential Standard, on a previous exemption or other exercise of discretion by APRA under a previous version of this Prudential Standard.
11. The following items are excluded from the scope of this Prudential Standard:
(a) non-standard retail residential mortgage exposures,[2] equity exposures, margin lending exposures, cash items, fixed assets, unsettled and failed transactions, and related-party exposures that are subject to the requirements of Prudential Standard APS 112 Capital Adequacy: Standardised Approach to Credit Risk (APS 112);
(b) assets or investments that are required to be deducted from Common Equity Tier 1 Capital, Tier 1 Capital or Total Capital under Prudential Standard APS 111 Capital Adequacy: Measurement of Capital (APS 111);
(d) liabilities of a covered bond special purpose vehicle to an issuing ADI as specified in Prudential Standard APS 121 Covered Bonds (APS 121); and
(e) items that are subject to capital requirements under Prudential Standard APS 116 Capital Adequacy: Market Risk (APS 116) which do not have a counterparty credit risk exposure under Prudential Standard APS 180 Capital Adequacy: Counterparty Credit Risk (APS 180).
12. Subject to paragraph 13 of this Prudential Standard, an ADI must apply the requirements set out in this Prudential Standard to calculate risk-weighted assets (RWA) and expected loss (EL) for any exposures of overseas banking subsidiaries that form part of the Level 2 group.
13. For the purpose of calculating the Level 2 Regulatory Capital requirement for exposures of an overseas banking subsidiary that is prudentially regulated by a prescribed New Zealand authority, an ADI must calculate RWA and EL using the prescribed New Zealand authority’s equivalent prudential rules as in force from time to time except that, in calculating RWA, the ADI must not apply the prescribed New Zealand authority’s:[3]
(a) scaling factor that is equivalent to paragraph 2 of Attachment A to this Prudential Standard, and instead must only apply a scaling factor of 1.1; and
(b) floor value and calculation that is equivalent to paragraph 4 of Attachment A to Prudential Standard APS 110 Capital Adequacy (APS 110), and instead must only apply the floor value and calculation in APS 110.
14. The following definitions are used in this Prudential Standard:
(a) capital requirement (K) – means the capital requirement for unexpected loss derived from inputting the risk components to the risk-weight functions;
(b) commitment – has the meaning given in APS 112;
(c) commodities finance – has the meaning given in APS 112;
(d) corporate exposure – has the meaning given in paragraph 30 of this Prudential Standard;
(e) credit conversion factor (CCF) – means the percentage value used to convert an off-balance sheet exposure into an on-balance sheet equivalent;
(f) credit obligation – means a contractual agreement in which a borrower receives something of value now (usually cash) with the agreement to repay the ADI at some stated date;
(g) credit risk mitigation (CRM) – means a credit risk mitigation technique that meets the requirements detailed in Attachment E to this Prudential Standard and APS 112 where applicable;
(h) defaulted exposure – means a non-performing exposure as defined in Prudential Standard APS 220 Credit Risk Management (APS 220);
(i) dilution risk – means the possibility that the total amount of purchased receivables is reduced through cash or non-cash credits to the receivables’ obligors;
(j) effective maturity (M) – means the remaining effective term of a credit obligation;
(k) expected loss (EL) – means the average credit loss that the ADI is reasonably expected to experience;
(l) exposure at default (EAD) – means the gross exposure (including accrued interest) under a facility (i.e. the amount that is legally owed to the ADI) upon the default of a borrower;
(m) financial institution – has the meaning given in paragraph 34 of this Prudential Standard;
(n) group of connected borrowers – means a group of connected counterparties that is connected by control or single-risk relationships under Prudential Standard APS 221 Large Exposures (APS 221). Where an ADI assesses that a borrower may form part of more than one group of connected borrowers, the ADI may primarily assign the borrower based on a control relationship rather than a single-risk relationship for the purpose of this Prudential Standard;
(o) income-producing real estate (IPRE) – has the meaning given in paragraph 31 of this Prudential Standard;
(p) large corporate – means a corporate counterparty with total consolidated annual revenue greater than $750 million as reported in the audited financial statements of the corporate counterparty or, where the counterparty is part of a group, the audited financial statements of the group. The revenue amount must be based on the average amount calculated over the prior three years, or on the latest amount updated at least every three years by the ADI;
(q) lenders’ mortgage insurance (LMI) – has the meaning given in APS 112;
(r) loss given default (LGD) – means the ADI’s economic loss upon the default of a borrower;
(s) object finance – has the meaning given in APS 112;
(t) probability of default (PD) – means the risk of borrower default;
(u) project finance – has the meaning given in APS 112;
(v) purchased receivables – means a pool of receivables that has been purchased by the ADI from another entity;
(w) rating system – means all of the methods, processes, controls, data collection and technology that support the assessment of credit risk, the assignment of internal credit risk ratings and the quantification of associated default, exposure and loss estimates;
(x) regulated financial institution – means a financial institution that is subject to prudential requirements that are broadly equivalent to APRA’s prudential requirement, or is part of a group where any material legal entity within the group is subject to prudential requirements that are broadly equivalent to those set by APRA;
(y) revolving exposure – means an exposure where a borrower’s outstanding balance is permitted to fluctuate based on their decision to borrow and repay, up to a limit established by the ADI. This does not include exposures that allow prepayments and subsequent redraws of those prepayments;
(z) risk component – means the ADI’s internal estimate, or a supervisory estimate provided in this Prudential Standard, of probability of default, loss given default, exposure at default or effective maturity required as inputs to the risk-weight functions;
(aa) risk-weight function – means the calculation method that transforms the risk components into the capital requirement for unexpected loss;
(bb) securities financing transaction (SFT) – has the meaning given in APS 112;
(cc) sovereign – has the meaning given in APS 112;
(dd) specialised lending – has the meaning given in APS 112 but also includes IPRE as defined in this Prudential Standard;
(ee) unexpected loss (UL) – means the credit loss in excess of expected loss; and
(ff) unregulated financial institution – means a financial institution that is not a regulated financial institution.
15. An ADI that has received IRB approval from APRA may rely on its internal estimates for some, or all, of the risk components required as inputs to the risk-weight functions used in determining the Regulatory Capital requirement for credit exposures. The risk components include measures of PD, LGD, EAD and M.
16. An ADI must meet the relevant minimum requirements detailed in this Prudential Standard to use an IRB approach for a given asset class.
17. An ADI must apply a foundation IRB (FIRB), advanced IRB (AIRB), retail IRB or supervisory slotting approach to a given asset class in accordance with its IRB approval and subject to the constraints set out in paragraph 18 of this Prudential Standard. Where the ADI uses the:
(a) FIRB approach, it must provide its own estimates of PD and M, and rely on supervisory estimates for LGD and EAD;
(b) AIRB approach, it must provide its own estimates of PD, LGD (excluding senior unsecured and subordinated corporate exposures for which the ADI must use supervisory LGD estimates) and M, and rely on supervisory estimates for EAD;
(c) retail IRB approach, it must provide its own estimates of PD, LGD and EAD (excluding non-revolving retail exposures for which the ADI must use supervisory EAD estimates); and
(d) supervisory slotting approach, it must provide its own mapping of credit exposures to the supervisory slotting categories, and rely on supervisory risk weights for the slotting categories and supervisory estimates for EAD.
Under all approaches, the ADI must use the relevant IRB risk-weight function or schedule, as detailed in Attachment A to this Prudential Standard, to derive RWA for UL and the approach detailed in Attachment C to this Prudential Standard to derive EL.
(a) FIRB approach to all sovereign, financial institution and large corporate exposures, except IPRE exposures that meet the definition of a large corporate exposure where the ADI may apply a FIRB or supervisory slotting approach in accordance with its IRB approval;
(b) retail IRB approach to all retail exposures; and
(c) supervisory slotting approach to all project finance, object finance and commodities finance exposures.
19. An ADI may reduce its Regulatory Capital requirement through the use of CRM where it meets the requirements detailed in Attachments B, E and F to this Prudential Standard, and APS 112 where applicable.
20. All material aspects of an ADI’s rating and estimation processes must be approved by the ADI’s Board, or relevant Board committee, and senior management. Those parties must possess a general understanding of the ADI’s rating systems and a detailed understanding of the associated management reports. Senior management must notify the Board, or Board committee, of material changes or exceptions from established policies that could have a material impact on the ADI’s rating systems.
21. Senior management must understand the design and operation of an ADI’s rating systems and approve any material differences identified between established procedures and actual practice. Senior management must ensure that the rating systems are operating as intended on an ongoing basis. Senior management and staff in the credit risk control function must meet regularly to discuss the performance of the rating process, areas requiring improvement and the status of efforts to improve previously identified deficiencies.
22. Internal ratings must be an essential part of the reporting to the Board and senior management. Reporting must include:
(a) risk profile by grade;
(b) migration across borrower grades;
(c) quantitative estimates of the relevant parameters for each borrower grade and, where relevant, facility grade; and
(d) comparison of realised default rates (and, where relevant, realised LGD and EAD rates) against expectations.
Reporting frequencies may vary with the significance and type of information and the level of the recipients.
23. An ADI must have documented policies that detail sound rating system development, validation, implementation, governance and control processes. These policies must:
(a) be approved and actively discussed by the ADI’s Board or a delegated committee;
(b) define the roles and responsibilities of parties involved in rating system development, validation, approval and implementation;
(c) be actively enforced by senior management;
(d) outline the processes for the development, validation, approval, implementation and governance of all rating and estimation processes. This must include the formation of:
(i) a register that documents the specification, application, risk classification (materiality) and owner of each rating system;
(ii) a change log covering all rating system changes; and
(iii) a centralised issues register that records issues relating to each rating system; and
(e) outline an ongoing monitoring and validation cycle for each rating system.
24. An ADI must have an independent credit risk control unit that is responsible for the design or selection, implementation and performance of the ADI’s rating systems. The unit must be functionally independent of the personnel and management functions responsible for originating exposures. Areas of responsibility must include:
(a) testing and monitoring internal borrower and facility grades, and pools;
(b) production and analysis of summary reports from the ADI’s rating systems, including historical default data sorted by the rating at the time of default and one year prior to default, migration analysis and monitoring of trends in key rating criteria;
(c) implementing procedures to verify that rating definitions are consistently applied across business units and geographic areas;
(d) reviewing and documenting any changes to the rating process, including the reasons for those changes; and
(e) reviewing the rating criteria to evaluate if they remain predictive of risk.
25. The credit risk control unit must actively participate in the development, selection, implementation and validation of rating models. It must assume oversight and supervision responsibilities for any models used in the rating process and have ultimate responsibility for the ongoing review of, and alterations to, the ADI’s rating models.
26. In order to ensure proper accountability, an ADI’s policies must clearly define and document the responsibilities of, and performance standards for, personnel within the credit risk control unit. Personnel must have the appropriate incentives to meet their performance standards and the knowledge, skills, tools and resources necessary to carry out their responsibilities.
27. An ADI’s rating systems and operations must be reviewed at least annually by internal audit or an equally independent function. The review must assess whether the ADI’s development, implementation, validation, governance and control processes are effective and operating as designed. The areas of review must include:
(a) the operations of the credit risk control function;
(b) the estimation of PD and, where relevant, LGD and EAD; and
(c) the ADI’s adherence to all applicable minimum requirements detailed in this Prudential Standard.
The findings of this review must be documented.
28. For the purpose of deriving the Regulatory Capital requirement under an IRB approach, an ADI must assign its banking book exposures to one of the following IRB asset classes:
(a) corporate (which includes the four sub-asset classes of specialised lending);
(b) sovereign;
(c) financial institution; and
(d) retail (which consists of four separate sub-asset classes).
29. An ADI must ensure that its methodology for assigning credit exposures to different IRB asset classes complies with its IRB approval and is consistent over time.
32. In order to treat an exposure as a general corporate exposure rather than IPRE, an ADI must have recourse to a borrower that meets all of the following criteria:
(a) the borrower is a corporate entity that is managed by a recognised, professional and reputable management team;
(b) the ADI’s exposure to the borrower is not specifically or substantially financing limited recourse development projects;
(c) the borrower has greater than $250 million in tangible assets, to which the ADI has unconditional recourse;
(d) real estate assets are sufficiently diversified such that:
(i) no single asset represents greater than 25 per cent of the borrower’s real estate portfolio by value; and
(ii) real estate assets are not concentrated in one particular specific geographic location; and
(e) for real estate operators or investors, tenants are sufficiently diversified such that no single tenant represents:
(i) greater than 25 per cent of portfolio net rental income for portfolios of retail shopping centres that typically require significant anchor tenants to attract speciality tenants; and
(ii) greater than 10 per cent of portfolio net rental income for all other portfolios of real estate assets (e.g. commercial offices, industrial buildings, hotels), with the exception of Government tenants.
33. The sovereign IRB asset class includes all credit exposures to sovereign counterparties as defined in APS 112.
35. The retail IRB asset class includes any exposure that:
(a) is extended to an individual (that is, a natural person) or individuals; and
(b) forms part of a large pool of exposures that is managed by the ADI on a pooled basis.
Small-business exposures or exposures secured by residential real estate, whether or not extended to an individual, may be classified as retail exposures where they satisfy the criteria in paragraphs 37 or 40 of this Prudential Standard, respectively.
36. An ADI must assign its retail exposures to either the retail residential mortgage, qualifying revolving retail (QRR), small- and medium-sized enterprise (SME) retail or other retail sub-asset classes.
37. The retail residential mortgage IRB sub-asset class includes exposures that are:
(a) partly or fully secured by residential real estate;
(b) managed in a similar manner to other retail exposures; and
(c) not for business purposes.
38. The QRR IRB sub-asset class includes exposures that satisfy the following criteria:
(a) the exposures are revolving, unsecured and unconditionally cancellable (both contractually and in practice) by the ADI. Exposures may be considered unconditionally cancellable if the terms of the contract permit the ADI to cancel at any time any existing credit lines or limits provided to a borrower at the ADI’s discretion, and demand immediate repayment for any outstanding balance to the full extent allowable under consumer protection and related legislation;
(b) the exposures are to individuals and not for business purposes;
(c) the maximum exposure of an individual account in the sub-portfolio is $100,000; and
(d) the exposures exhibit, in comparison with other types of retail lending products, low loss rate volatility relative to the average level of loss rates (especially within low PD bands).
39. QRR exposures must be further split into exposures to transactors and revolvers. For this purpose:
(a) a QRR transactor is a borrower that has repaid the balance of their facility in full at each scheduled repayment date for the previous 12 months; and
(b) a QRR revolver is a borrower that does not meet the criteria for treatment as a QRR transactor. An ADI must treat any QRR exposure with less than 12 months of repayment history as an exposure to a QRR revolver.
40. The SME retail IRB sub-asset class includes exposures that meet the following criteria:
(a) the total business-related exposure of the ADI to a small-business borrower or group of connected borrowers is less than $1.5 million. Small-business exposures extended to, or guaranteed by, an individual are subject to the same exposure threshold. For a subsidiary of the ADI operating in a jurisdiction that applies a different threshold for SME retail, as set by the overseas prudential regulator, the ADI may apply that jurisdiction’s threshold for the calculation of its Level 2 Regulatory Capital requirement for the relevant exposures;
(b) the reported consolidated annual revenue of a small-business borrower or group of connected borrowers is less than $75 million;
(c) both the borrower and exposure are non-complex; and
(d) the ADI treats small-business exposures in its internal risk management systems in the same manner as other retail exposures consistently over time. This requires that such exposures:
(i) are originated in a similar manner to other retail exposures; and
(ii) must not be managed individually in a way that is comparable to an exposure in the corporate IRB asset class but rather as part of a portfolio segment or pool of exposures with similar risk characteristics for the purposes of risk assessment and quantification. This does not preclude these exposures from being managed individually at some stages of the risk management process.
41. The other retail IRB sub-asset class includes all other retail exposures.
42. APRA may approve an ADI to use an IRB approach for Regulatory Capital purposes. APRA may impose conditions on the ADI’s use of an IRB approach for Regulatory Capital purposes.
43. An ADI must obtain prior approval from APRA to use an IRB approach for Regulatory Capital purposes. Where APRA approves the use of an IRB approach, it will specify how the IRB approach applies in relation to the ADI.
44. In its initial application to use an IRB approach, an ADI must seek IRB approval for all material asset classes and business units of the ADI. The ADI must demonstrate that it complies with the minimum requirements of this Prudential Standard for the relevant IRB asset classes or sub-asset classes, and has been using rating systems and risk components that are broadly in line with the requirements of this Prudential Standard for at least three years prior to an IRB approval being given.[4]
45. In its initial application to use an IRB approach, an ADI must, unless determined otherwise by APRA, also seek approval to use an internal risk measurement model for the purpose of determining the Regulatory Capital requirement for interest rate risk in the banking book as set out in Prudential Standard APS 117 Capital Adequacy: Interest Rate Risk in the Banking Book.
46. In addition to credit exposures for which an ADI must use the standardised approach to credit risk, APRA may permit the ADI to use a combination of an IRB approach and the standardised approach for Regulatory Capital purposes. This approach is referred to as ‘partial use’. Partial use may apply on a temporary or permanent basis.
47. An ADI seeking approval to adopt partial use must provide APRA with information on any business activities for which the ADI proposes to use the standardised approach to credit risk. This information must be provided both at the time of the ADI’s initial application for the use of an IRB approach and subsequent to the ADI obtaining IRB approval.
48. Where it is not practical for an ADI to implement an IRB approach across all material asset classes and business units at the same time, APRA may approve a phased roll-out of an IRB approach by the ADI. A phased roll-out is where the ADI, in accordance with a specified timetable:
(a) adopts an IRB approach across asset classes within a particular business unit;
(b) adopts an IRB approach across business units in the Level 2 group;
(c) moves from the FIRB approach to the AIRB approach, where the use of the AIRB approach is permitted; and
(d) moves from the supervisory slotting approach to the FIRB or AIRB approach for IPRE.
However, where the ADI adopts an IRB approach for an asset class or sub-asset class within a particular business unit, it must apply that IRB approach to all exposures in that asset class or sub-asset class within that business unit.
49. An ADI that has received approval to adopt a phased roll-out of an IRB approach must have an implementation plan in place that specifies the extent and timing of roll-out of the IRB approach across all significant asset classes or sub-asset classes and business units.
50. During the roll-out period:
(a) a significant portion (at APRA’s discretion) of any expected Regulatory Capital benefit from initial IRB approval may only become available after obtaining final approval. APRA may vary this percentage during the period from initial to final approval to reflect APRA’s assessment of the ADI’s ability to progress to final approval; and
(b) no capital relief will be granted for intra-group transactions that reduce an ADI’s aggregate capital requirement by transferring credit risk among entities on the standardised approach to credit risk, FIRB approach and AIRB approach. This includes, but is not limited to, asset sales and cross-guarantees.
51. APRA will approve permanent partial use of an IRB approach only in exceptional circumstances. An ADI seeking such approval must be able to demonstrate that the relevant business activities to which an IRB approach does not apply are immaterial in terms of size and perceived risk profile.
52. An ADI that has obtained IRB approval must seek prior approval from APRA where it intends to make:
(a) changes to its rating systems that will result in a material change in RWA for a given type of exposure; or
(b) a significant change to its modelling assumptions.
53. An ADI that has obtained IRB approval must continue to employ that IRB approach on an ongoing basis except to the extent that the IRB approval is revoked or suspended for some or all of the ADI’s operations. A return to the standardised approach to credit risk, or the use of the FIRB approach where the ADI has approval to use the AIRB approach, will generally only be permitted in exceptional circumstances.
54. APRA may, at any time, vary or revoke an IRB approval, or impose additional conditions on the IRB approval if it considers that:
(a) an ADI is not complying with this Prudential Standard; or
(b) it is appropriate, having regard to the particular circumstances of the ADI.
Where APRA has varied or revoked an IRB approval, it may require the ADI to apply the standardised approach to credit risk for some or all of its operations, until it meets the conditions specified by APRA for returning to an IRB approach.
55. APRA may require an ADI to reduce its level of credit risk or increase its capital if APRA considers that the ADI’s capital for credit risk under an IRB approach is not commensurate with its credit risk profile.
56. If an ADI becomes aware that it is not complying with a requirement of this Prudential Standard, it must notify APRA and provide a plan for its timely return to compliance.
(a) PD and LGD are expressed as percentages;
(b) EAD is expressed in Australian dollars;
(c) ln denotes the natural logarithm;
(d) N(x) denotes the cumulative distribution function for a standard normal random variable (i.e. the probability that a normal random variable with mean zero and variance of one is less than or equal to x); and
(e) G(z) denotes the inverse cumulative distribution function for a standard normal random variable (i.e. the value of x such that N(x) = z).
2. To determine total RWA under an IRB approach, the ADI must sum:
(a) RWA for UL for all IRB asset classes, aside from those exposures excluded in (b) and (c) below, and multiply the amount by a scaling factor of 1.1;
(b) RWA for UL for exposures under the supervisory slotting approach; and
3. Except where the supervisory slotting approach applies to specialised lending exposures, an ADI must calculate RWA for corporate, sovereign and financial institution exposures using assigned estimates of PD, LGD, EAD and M for a given exposure. These estimates must be calculated in accordance with Attachments B and D to this Prudential Standard.
Correlation (R) = ![]()
Maturity adjustment (b) = ![]()
Capital requirement (K) =

RWA = K × 12.5 × EAD
If the K calculation results in a negative capital requirement, an ADI must apply a zero capital requirement for that exposure.
5. An ADI must set the asset value correlation multiplier (AVCM) equal to 1. However, where the exposure is to a financial institution and either of the below conditions are met, the ADI must set AVCM equal to 1.25:
(a) where the exposure is to a regulated financial institution that has total assets of greater than or equal to $125 billion. For the purpose of determining total assets, an ADI must use the amounts as reported in the most recent audited financial statements of the financial institution, or where the financial institution forms part of a group, the audited financial statements of the group; or
(b) where the exposure is to an unregulated financial institution regardless of size.
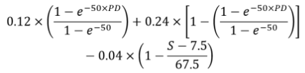
Correlation (R) =

where:
S is expressed as total consolidated annual revenue between $7.5 million and $75 million. S has a minimum value of $7.5 million.
7. Where revenue data is unavailable, an ADI must apply the following minimum values:
(a) $45 million where EAD is less than $5 million; and
(b) $75 million where EAD is greater than or equal to $5 million.
8. For non-defaulted IPRE exposures subject to the FIRB or AIRB approach, the calculation of RWA for UL is:
RWA = K × 12.5 × EAD × 1.5
9. For non-defaulted specialised lending exposures subject to the supervisory slotting approach, an ADI must map its internal rating grades for those exposures to the slotting categories of strong, good, satisfactory and weak by applying the criteria detailed in Attachment G to this Prudential Standard.
10. To calculate RWA in respect of UL for non-defaulted specialised lending exposures subject to the supervisory slotting approach, an ADI must multiply EAD, calculated in accordance with Attachment B to this Prudential Standard, by the relevant risk weight in Table 1.
Table 1 Risk weights for UL under the supervisory slotting approach
Supervisory category | Strong | Good | Satisfactory | Weak |
Risk weight | 70% | 90% | 115% | 250% |
11. An ADI must calculate RWA for retail exposures using assigned estimates of PD, LGD and EAD for a given exposure, calculated in accordance with Attachments B and D to this Prudential Standard.
12. For non-defaulted retail residential mortgage exposures, the risk-weight function is:
Correlation (R) = 0.15
Capital requirement (K) = ![]()
This risk-weight function also applies to the unsecured portion of exposures that are partly secured by residential real estate.
13. For non-defaulted retail residential mortgage exposures that meet the definition of an owner-occupied, principal-and-interest residential mortgage exposure as detailed in Attachment A to APS 112, the calculation of RWA for UL is:
RWA = EAD × Max[K × 12.5 × 1.4, 0.05]
14. For non-defaulted retail residential mortgage exposures to borrowers that have mortgaged five or more investment properties,[5] the calculation of RWA for UL is:
RWA = EAD × Max[K × 12.5 × 2.5, 0.05]
15. For all other non-defaulted retail residential mortgage exposures, the calculation of RWA for UL is:
RWA = EAD × Max[K × 12.5 × 1.7, 0.05]
16. For non-defaulted QRR exposures, the calculation of RWA for UL is:
Correlation (R) = 0.04
Capital requirement (K) = ![]()
Risk-weighted assets (RWA) = K × 12.5 × EAD
17. For non-defaulted SME retail exposures that are fully or partly secured by residential real estate, the calculation of RWA for UL is:
Correlation (R) = 0.15
Capital requirement (K) = ![]()
Risk-weighted assets (RWA) = K × 12.5 × EAD
This RWA calculation also applies to the unsecured portion of SME retail exposures that are partly secured by residential real estate.
18. For all other non-defaulted SME retail exposures, the calculation of RWA for UL is:
Correlation (R) = ![]()
Capital requirement (K) = ![]()
Risk-weighted assets (RWA) = K × 12.5 × EAD
19. For all other non-defaulted retail exposures, the calculation of RWA for UL is:
Correlation (R) = ![]()
Capital requirement (K) = ![]()
Risk-weighted assets (RWA) = K × 12.5 × EAD
20. Lease exposures are defined in APS 112. Leases, other than those that expose an ADI to residual value risk, may be treated in the same manner as exposures secured by the relevant collateral.[6] The ADI may use its own estimates of LGD if it uses the AIRB approach. Where the ADI uses the FIRB approach, the minimum requirements in relation to eligible collateral must be met as detailed in Attachment E to this Prudential Standard.
21. For leases that expose an ADI to residual value risk, the discounted lease payment stream must be risk weighted according to the PD and LGD the ADI assigns to the lessee, and the aggregate residual value of all lease exposures must be risk weighted according to Table 2.
Table 2 Risk weights for residual value under lease exposures
| Risk weight (%) applying to the portion of aggregate residual value ≤ 10% of Tier 1 capital | Risk weight (%) applying to the portion of aggregate residual value > 10% of Tier 1 capital |
Exposures to residual value | 100 | 250 |
22. K in respect of UL for a defaulted exposure under the AIRB or retail IRB approach is equal to the greater of zero and the amount by which the LGD estimate for that exposure exceeds an ADI’s best estimate of EL given current economic circumstances and the facility’s status. The calculation of RWA for UL is:
RWA = K × 12.5 × EAD
23. RWA and K in respect of UL for a defaulted exposure under the FIRB or supervisory slotting approach is zero.
3. Subject to the exceptions set out in paragraphs 4 and 5 of this Attachment, PD is the greater of the PD estimate associated with the internal borrower grade or pool to which an exposure is assigned and 0.05 per cent.
4. For QRR exposures, PD is the greater of:
(a) the PD estimate associated with the internal borrower grade or pool to which an exposure is assigned; and
(b) 0.1 per cent for QRR revolvers or 0.05 per cent for QRR transactors.
6. An ADI must assign a 100 per cent PD to defaulted exposures.
7. LGD estimates must be measured as a percentage of EAD.
9. Where an ADI uses the FIRB approach, it may assign lower LGD estimates to eligible senior exposures to sovereign counterparties, which are not secured by eligible collateral, using the ratings of external credit assessment institutions (ECAIs). Where the ECAI is S&P Global Ratings, Moody’s or Fitch Ratings, ratings and the relevant LGD must be mapped in accordance with Table 3. Where a sovereign exposure has multiple ECAI ratings that correspond to multiple credit rating grades, the ADI must apply the requirements detailed in paragraph 6 of Attachment F to APS 112. The ADI must apply the due diligence requirements in Attachment F of APS 112 when using the ratings of ECAIs.
Table 3 LGD estimates for eligible sovereign exposures
| S&P Global Ratings | Moody’s | Fitch Ratings | LGD (%) |
Credit rating grade of sovereign exposure | AAA AA+ AA AA- | Aaa Aa1 Aa2 Aa3 | AAA AA+ AA AA- | 5 |
A+ A | A1 A2 | A+ A | 25 | |
Unrated exposure to an Australian local council | ||||
10. Where an ADI uses the FIRB approach, it may assign a 25 per cent LGD to senior exposures to operators of domestic large public infrastructure assets or utilities that:
(a) provide essential services to the economy; and
(b) have tripartite arrangements with the Australian Government or an Australian State or Territory government, or are valued based on regulatory asset base.
11. Where an ADI applies the FIRB approach, it may use the supervisory LGD estimates and collateral haircuts detailed in Table 4 as inputs to the LGD calculation for senior exposures that are not secured by eligible collateral but have eligible recovery value. The LGD must be calculated in accordance with the methodology detailed in paragraph 16 to 18 of this Attachment, where the LGD for the secured portion (LGDSi) is as specified in Table 4 and the LGD for the unsecured portion (LGDU) is as specified in paragraph 8 of this Attachment.
Table 4 Supervisory LGD estimates and collateral haircuts for exposures with eligible recovery value
| LGD (%) | HC (%) |
Physical collateral that does not meet the minimum requirements detailed in Attachment E to this Prudential Standard | Corporate: 40 Sovereign or financial institution: 45 | 40 |
Australian water entitlements |
13. An ADI must assign a 75 per cent LGD to all subordinated debt, aside from junior liens over commercial real estate or residential real estate that meet the eligibility criteria for recognition as eligible collateral as specified in Attachment E to this Prudential Standard. The ADI must have a documented policy that details its definition of subordination. At a minimum, the definition must include any facility that is expressly subordinated to another facility and also address economic subordination.
Table 5 Supervisory LGD estimates and collateral haircuts for exposures secured by eligible collateral
| LGD (%) | HC (%) |
Eligible financial collateral | 0 | APS 112 comprehensive approach |
Eligible receivables | 20 | 40 |
Eligible residential real estate or commercial real estate | 20 | 40 |
Other eligible physical collateral | 25 | 40 |
15. For eligible financial collateral, an ADI must apply the haircuts calculated under the comprehensive approach as set out in Attachment G to APS 112. These haircuts must be adjusted for different holding periods and non-daily remargining or revaluation as detailed in that Attachment.

where:
For the purpose of determining ESi for an exposure with a junior lien, the ADI must apply the appropriate haircuts to the value of the collateral and then reduce it by the sum of all exposures with liens that rank higher than the junior liens. In cases where liens are held by third parties that rank pari passu with the lien of the ADI, only the proportion of the value of the collateral (after the application of haircuts and reductions due to exposures with liens that rank higher than the lien of the ADI) that is attributable to the ADI may be recognised.
(a) relevant LGD specified in paragraph 9 of this Attachment; and
(b) LGD determined in accordance with paragraph 16 to 17 of this Attachment.
19. For corporate exposures subject to the AIRB approach, the LGD for each secured or partially secured exposure that is used as an input to the risk-weight function and the calculation of EL must not be less than the floors detailed in Table 6. However, the floor does not apply to the best estimate of EL for defaulted exposures.
Table 6 LGD floors for corporate exposures
Collateral type | LGD (%) |
Secured |
|
Financial collateral | 0 |
Receivables | 10 |
Commercial or residential real estate | 10 |
Other physical collateral | 15 |
All other collateral | 25 |
Unsecured | 25 |
20. The LGD floors for secured exposures specified in Table 6 must be applied where an exposure is fully secured (i.e. the value of collateral after applying the haircuts specified in Table 5 exceeds the value of the exposure).

where:
22. For retail exposures, the LGD for each exposure that is used as an input to the risk-weight function and the calculation of EL must not be less than the floors detailed in Table 7. However, the floor does not apply to the best estimate of EL for defaulted exposures.
Table 7 LGD floors for retail exposures
Exposure type | LGD (%) |
Retail residential mortgage | 10 |
Other secured |
|
Financial collateral | 0 |
Receivables | 10 |
Commercial or residential real estate | 10 |
Other physical collateral | 15 |
All other collateral | 30 |
Unsecured |
|
QRR | 50 |
All other unsecured | 30 |
23. The LGD floors for secured exposures specified in Table 7 must be applied where an exposure is fully secured (i.e. the value of collateral after applying the haircuts specified in Table 5 exceeds the value of the exposure).
24. The LGD floor for a partially secured retail exposure must be calculated according to the formula set out in paragraph 21 of this Attachment, aside from the LGD floor for a retail residential mortgage exposure, which is fixed irrespective of the level of collateral provided.
25. An ADI that has approval to use its own estimates of LGD for retail residential mortgage exposures must not take into account recoveries from LMI when deriving those LGD estimates. The ADI may instead recognise the risk-mitigating effect of LMI by applying a 20 per cent reduction to its LGD estimates (subject to the floor specified in Table 7) for exposures with a loan-to-valuation ratio, as defined in APS 112, of greater than 80 per cent that have LMI cover.
26. An ADI that is not approved to use its own estimates of LGD for retail residential mortgage exposures or SME retail exposures secured by residential real estate must apply a 20 per cent LGD floor in place of the floor specified in Table 7.
27. EAD in respect of each exposure (both on-balance sheet and off-balance sheet) must be measured without deducting any provisions for, and partial write-offs of, that exposure.
(b) any associated provisions and partial write-offs.
32. Where an ADI uses:
(a) supervisory estimates of EAD, EAD for an undrawn commitment is calculated as the committed but undrawn amount multiplied by a CCF; and
(b) its own estimates of EAD, EAD for an undrawn commitment may be calculated as the committed but undrawn amount multiplied by a CCF or derived from a direct estimate of the total facility EAD.
33. Except in the case of retail exposures, CCFs may be applied to the lower of the value of the unused committed credit line and the value of any other constraining factor on the availability of the facility, such as the existence of a ceiling on the potential lending amount that is related to a borrower’s reported cash flow or its external credit rating. If the lower value is used, an ADI must have sufficient line monitoring and management procedures to support using the lower value for Regulatory Capital purposes.
34. Where an ADI has given a commitment to provide an off-balance sheet exposure, it may apply the lower of the CCFs applicable to the commitment and the off-balance sheet exposure.
35. An ADI must apply the CCFs as specified in Attachment C to APS 112 when calculating EAD, with the exception of:
(a) non-revolving retail exposures categorised as other commitments in accordance with Attachment C to APS 112, for which the CCF is 100 per cent; and
(b) revolving retail exposures, excluding exposures subject to a CCF of 100 per cent in Attachment C to APS 112, for which the ADI may use its own estimates of EAD.
36. When only the drawn balances of revolving facilities have been securitised, an ADI must ensure that it continues to hold capital against the undrawn balances associated with the securitised exposure.
37. Where an ADI uses its own estimates of EAD for revolving retail exposures, EAD for each exposure that is used as an input to the risk-weight function and the calculation of EL must not be less than the sum of:
(a) the on-balance sheet amount; and
(b) 50 per cent of the off-balance sheet exposure using the applicable CCF in Attachment C to APS 112.
38. To the extent that foreign exchange and interest rate commitments exist within an ADI’s retail IRB asset class, the ADI is not permitted to use its internal estimates of EAD for those commitments and must instead apply the CCFs as specified in Attachment C to APS 112.
39. For off-balance sheet exposures that expose an ADI to counterparty credit risk, including over-the-counter (OTC) derivatives (as defined in APS 112), exchange-traded derivatives, and long settlement transactions, the ADI must calculate EAD according to the requirements set out in APS 180.
40. For corporate, sovereign and financial institution exposures, an ADI must calculate M for each facility. Subject to paragraph 42 of this Attachment, M is the greater of one year and the remaining maturity in years as defined in paragraph 41 of this Attachment. In all cases, M is no greater than five years.
41. For an exposure subject to a specified cash flow schedule, M is defined as:

where:
An ADI must apply a floor of zero to CFt where the cash flow is negative (i.e. payable by the ADI to the borrower), which can occur with some derivative transactions.
43. Where amounts have been drawn by a borrower under a committed facility and the maturity of the drawn amount is less than the maturity of the facility, the maturity of the facility must be used for determining the capital requirement.
44. When determining M for derivatives that are subject to a master netting agreement, an ADI must use the weighted average maturity of the derivatives. In this case, the notional amount of each derivative transaction should be used for the purpose of determining the weighted average maturity.
45. For certain short-term exposures, the one-year floor for maturity may be replaced by a one-day floor. The maturity of such transactions must be calculated as the greater of one day and M.
46. The one-year floor does not apply to the following exposures:
(a) collateralised capital-market-driven transactions (e.g. OTC derivative transactions and margin lending) and SFTs with an original maturity of less than one year, where the relevant documentation contains daily remargining clauses. The relevant documentation must also require daily revaluation and include provisions that allow for the prompt liquidation or set-off of collateral in the event of default or failure to remargin. Where these transactions are subject to a master netting agreement, the effective maturity is calculated as the weighted average maturity of the transactions. In this case, a floor equal to the minimum holding period for the transaction type as set out in Table 24 of Attachment G to APS 112 will apply. Where more than one transaction type is contained in the master netting agreement, a floor equal to the highest holding period will apply to the average. The notional amount of each transaction must be used in determining the weighted-average maturity;
(b) issued and confirmed trade letters of credit and other forms of trade financing that have a maturity of less than one year and are self-liquidating; and
(c) other short-term transactions with an original maturity of less than one year that are not part of an ADI’s ongoing financing of a borrower.
The ADI must have policies that detail the transactions where the one-day maturity floor is appropriate.
47. To recognise guarantees and credit derivatives as eligible CRM, an ADI must meet the minimum requirements detailed in Attachment E to this Prudential Standard.
48. An ADI may recognise the risk-mitigating effect of guarantees and credit derivatives by applying either a FIRB, AIRB or retail IRB substitution approach. The ADI’s application of the substitution approaches is constrained in the same manner as a direct exposure to the guarantor or credit protection provider, such that:
(a) if the ADI applies the FIRB approach to a direct exposure to a guarantor or credit protection provider, it may only recognise the guarantee or credit derivative according to the FIRB substitution approach; and
(b) if the ADI applies the standardised approach to credit risk to a direct exposure to a guarantor or credit protection provider, it may only recognise the guarantee or credit derivative by applying the standardised approach to the covered portion of the exposure. In this case, the ADI must apply the scope of guarantors and credit protection providers and minimum requirements for the recognition of guarantees and credit derivatives as set out in Attachments I and J to APS 112.
49. The application of CRM in the form of guarantees and credit derivatives must not reflect the effect of double default nor result in an adjusted risk weight that is less than that of a comparable direct exposure to the guarantor or credit protection provider.
50. In calculating the risk weight for the covered portion of the exposure:
(a) the effective maturity of a corporate, sovereign or financial institution exposure must be the same as the effective maturity of the exposure as if it were not covered;
(b) an ADI must use the same PD, LGD and EAD estimates for calculating EL as it uses for calculating RWA for UL; and
(c) where the risk-mitigating effect of guarantees or credit derivatives is recognised through PD, the ADI must use the risk-weight function appropriate to the guarantor or credit protection provider.
51. The uncovered portion of the exposure must be assigned a risk weight that is calculated in the same manner as a direct exposure to the underlying borrower.
52. Where proportional or tranched coverage exists, or where there is a currency or maturity mismatch between the underlying exposure and the guarantee or credit derivative, the approach set out in paragraphs 7 to 15 of Attachment I and paragraphs 14 to 22 of Attachment J to APS 112 must be applied.
53. Under the FIRB substitution approach, an ADI must determine the risk weight of the covered portion of the exposure by using the PD appropriate to the guarantor or credit protection provider’s borrower grade. The ADI may also replace the LGD of the underlying exposure with the LGD applicable to the guarantee or credit derivative taking into account its seniority and any eligible collateral calculated in accordance with this Attachment.
54. Under the AIRB or retail IRB substitution approach, an ADI may recognise the risk-mitigating effect of guarantees and credit derivatives by adjusting either PD or LGD estimates; however, in all cases, only one risk component may be adjusted. Whether adjustments are made through PD or LGD, they must be made in a consistent manner over time and for a given type of guarantee or credit derivative.
55. Where a maturity mismatch exists between:
(a) the residual maturity of the term of lodgement of collateral and the maturity of the exposure covered by the collateral, the ADI must apply the adjustment detailed in paragraph 27 of Attachment G to APS 112;
(b) the residual maturity of a guarantee and the maturity of the exposure covered by the guarantee, the ADI must apply the adjustment detailed in paragraph 15 of Attachment I to APS 112; or
(c) the residual maturity of a purchased credit derivative and the maturity of the exposure covered by the derivatives, the ADI must apply the adjustment detailed in paragraph 22 of Attachment J to APS 112.
56. For the purpose of calculating RWA and EL amounts for SFTs, including securities lending transactions, an ADI must calculate:
(a) the LGD of the counterparty in accordance with this Attachment;
(b) EAD in accordance with Attachment G to APS 112; and
(c) the capital requirement for the credit risk or market risk inherent in any securities the ADI lends or posts as collateral, if that risk remains with the ADI.
(a) for non-defaulted exposures, the product of PD, LGD and EAD;
(b) for defaulted exposures under the AIRB or retail IRB approach, the ADI’s best estimate of EL given current economic circumstances and the facility’s status;[7] and
(c) for defaulted exposures under the FIRB approach, the product of the relevant supervisory estimates of LGD and EAD.
2. For specialised lending exposures subject to the supervisory slotting approach, the EL amount must be calculated by multiplying EAD by the relevant factor specified in Table 8.
Table 8 EL under the supervisory slotting approach
| Strong | Good | Satisfactory | Weak | Default |
Specialised lending | 0.4% | 0.8% | 2.8% | 8% | 50% |
(a) credit related provisions (e.g. any provisions for non-defaulted or defaulted exposures). Any amount included in an ADI’s provisions for non-defaulted exposures may only be used as eligible provisions to offset EL for non-defaulted exposures;
(b) partial write-offs; and
(c) discounts on defaulted assets.[8]
Provisions held against securitisation exposures must not be included in total eligible provisions.
4. Where an ADI uses the standardised approach to credit risk for a portion of its exposures, it must attribute total provisions on a pro rata basis according to the proportion of RWA subject to the standardised and IRB approaches.
5. Where the standardised approach to credit risk is used exclusively by an entity within the Level 2 group, all of the provisions booked within that entity must be attributed to the standardised approach.
6. Provisions that are booked by entities within the Level 2 group that exclusively use an IRB approach to credit risk qualify as eligible provisions under paragraph 3 of this Attachment.
7. An ADI must separately compare the total EL amount for defaulted exposures and non-defaulted exposures with total eligible provisions associated with the relevant exposures.
8. Where the total EL amount is higher than total eligible provisions for the relevant exposures, the difference must be deducted from Common Equity Tier 1 Capital as detailed in APS 111.
9. For non-defaulted exposures, where the total EL amount is lower than eligible provisions associated with these exposures, the difference may be included in Tier 2 Capital up to a maximum of 0.6 per cent of credit RWA calculated under the IRB approach as detailed in APS 111.
2. An ADI’s credit risk rating and associated risk estimation systems and processes must provide for a meaningful assessment of borrower and transaction characteristics, a meaningful differentiation and ranking of risk, and quantitative estimates of risk that are consistent, verifiable, relevant and soundly based. The internal ratings and quantitative risk estimates associated with those systems and processes must play an essential role in the ADI’s risk management and decision-making processes.
3. An ADI must adhere to the overall requirements for rating system design, operation, controls, governance and use as well as the requirements for the quantification and validation of PD estimates. An ADI that uses its own estimates of LGD and EAD must also meet the incremental minimum requirements relating to those risk components.
4. Within each relevant IRB asset class, an ADI may utilise multiple rating methodologies or systems. If the ADI chooses to use multiple methodologies or systems, the rationale for assigning a borrower to a rating methodology or system must be documented and applied in a manner that best reflects the level of risk of the borrower. The ADI must not allocate borrowers across rating methodologies or systems for the primary purpose of minimising its capital requirement.
5. An internal rating system for corporate, sovereign and financial institution exposures must have two separate and distinct dimensions:
(a) the risk of borrower default (borrower grade); and
(b) transaction-specific factors (facility grade).
6. The borrower grade must be oriented to the risk of borrower default; that is, it must solely reflect PD. Subject to the exceptions set out in paragraph 7 of this Attachment, an ADI must assign the same borrower grade to separate exposures to the same borrower irrespective of any differences in the nature of each specific transaction.
(a) in the case of country transfer risk, the ADI may assign different borrower grades depending on whether the facility is denominated in domestic or foreign currency; and
(b) where the treatment of associated guarantees or credit derivatives to a facility is reflected in an adjustment to the borrower grade.
8. A borrower grade must represent an assessment of borrower risk on the basis of a specified and distinct set of rating criteria from which estimates of PD are derived. An ADI’s credit policies must articulate the:
(a) relationship between borrower grades in terms of the level of credit risk each grade implies. Perceived and measured credit risk must increase as credit quality declines from one grade to the next; and
(b) credit risk of each borrower grade in terms of both a description of the default risk typical for borrowers assigned to the grade and the criteria used to distinguish that level of credit risk. Modifiers such as ‘+’ or ‘-’ to alpha or numeric borrower grades will only qualify as distinct grades if the ADI has developed complete rating descriptions and criteria for their assignment and separately quantifies PD estimates for those modified grades.
9. The facility grade must reflect transaction-specific factors such as collateral, seniority and product type; that is, it must solely reflect LGD. Borrower characteristics may be included as LGD rating criteria only to the extent that they are predictive of LGD. However, under the FIRB approach an ADI may satisfy this requirement by using a facility grade dimension that reflects both borrower and transaction-specific factors. The criteria used to define facility grades must be grounded in empirical evidence.
10. Specialised lending exposures subject to the supervisory slotting approach are excluded from the two-dimensional rating requirement. In this case, an ADI may have a single rating dimension that reflects EL by incorporating both PD and LGD considerations.
11. Rating systems for retail exposures must be oriented to both borrower and transaction risks and capture all relevant borrower and transaction characteristics. An ADI must assign retail exposures into particular pools separately reflecting PD, LGD and EAD. The ADI must ensure that this process provides for a meaningful differentiation and ranking of risk, a grouping of sufficiently homogenous exposures, and accurate and consistent estimation of PD, LGD and EAD at the pool level. Different pools of retail exposures may share identical PD, LGD or EAD estimates.
12. At a minimum, an ADI must consider the following risk drivers when assigning retail exposures to a pool:
(a) borrower risk characteristics (e.g. borrower type, demographics such as age and occupation);
(b) transaction risk characteristics including product or collateral (e.g. loan-to-valuation measures, seasoning, guarantees or credit derivatives and seniority (first or second liens)). The ADI must explicitly address cross-collateral provisions where present; and
(c) delinquency of the exposure. The ADI must be able to separately identify exposures that are delinquent and those that are not.
13. For each pool where an ADI estimates PD and LGD, it must analyse the representativeness of the age of facilities (in terms of the time since origination for PD and the time since default for LGD) in the data used to derive the estimates. The ADI must adjust its estimates upward to account for a lack of representativeness in the data as well as anticipated implications of rapid exposure growth that may lead to default rates peaking several years after origination.
14. An ADI must have a sufficient number of distinct rating grades to allow for a meaningful distribution of exposures, with no excessive concentrations in either its borrower grades or, where relevant, facility grades.
15. Subject to the exception set out in paragraph 17 of this Attachment, an ADI must have a minimum of seven borrower grades for non-defaulted borrowers and one for defaulted borrowers. An ADI with lending activities focused on a particular market segment may satisfy this requirement with the minimum number of grades. An ADI that lends to borrowers of diverse credit quality should have a greater number of borrower grades. Significant concentrations within a single borrower grade or grades must be supported by empirical evidence that the grade or grades cover reasonably narrow PD bands and that the default risk posed by borrowers in each grade fall within the relevant band.
18. An ADI must be able to provide quantitative measures of PD, LGD and EAD for each identified pool of retail exposures. The level of differentiation must ensure that the number of exposures in a given pool is sufficient to allow for meaningful quantification and validation of PD, LGD and EAD estimates at the pool level. There must also be a meaningful distribution of exposures across pools, with no single pool comprising an undue concentration of exposures.
20. An ADI’s internal rating descriptions and criteria must be sufficiently detailed to allow officers to consistently assign the same rating to borrowers and facilities posing similar risk, across lines of business, departments and geographic locations. If rating criteria and processes differ for different types of borrowers or facilities, the ADI must monitor for possible inconsistency in rating assignments and alter rating criteria and processes to improve consistency where appropriate.
21. Rating definitions must be sufficiently clear and detailed to allow independent third parties, including APRA, to understand the assignment of ratings, replicate rating assignments and evaluate the appropriateness of the assignment of exposures to grades or pools.
22. The rating criteria must be consistent with an ADI’s lending standards and its policies for managing borrowers and facilities that have deteriorated in credit quality.
24. An ADI using the supervisory slotting approach must assign specialised lending exposures to its internal rating grades based on its own criteria, systems and processes. The ADI must also have a documented process that maps those internal rating grades into the slotting categories of strong, good, satisfactory, weak and default in a conservative and consistent manner. The ADI must ensure that its mapping process results in an alignment of grades that is consistent with the criteria defining the slotting categories as detailed in Attachment G to this Prudential Standard. The ADI must ensure that overrides of its internal criteria do not render the mapping process ineffective.
25. Although the time horizon required for PD estimation is one year,[9] an ADI must use a longer time horizon when assigning borrowers to borrower grades or exposures to pools.
26. A borrower grade or pool must represent an ADI’s assessment of the borrower’s ability and willingness to perform contractually despite adverse economic conditions or the occurrence of unexpected events. The range of economic conditions that are considered when making assessments must be consistent with current conditions and those that are likely to occur over a business cycle within the respective industry or geographic region. Rating systems should be designed in such a way that idiosyncratic or industry-specific changes are a driver of migrations from one category to another, and business cycle effects may also be a driver.
27. An ADI’s PD estimates for hedge funds, other highly leveraged financial institutions or borrowers whose assets are predominantly traded assets must reflect the performance of the underlying assets based on periods of stressed volatilities. For this purpose, a highly leveraged financial institution means a financial institution that exhibits the following characteristics:
(a) use of investment strategies that are intended to generate returns with low correlation to equity and bond indices, or that involve complex investment structures;
(b) use of high leverage to increase returns;
(c) use of derivatives for speculative purposes;
(d) use of short selling; or
(e) a material element of its fees is performance related.
28. Given the difficulties in forecasting future events and the influence that they could have on a particular borrower’s financial condition, an ADI must take a conservative view of projected information. Where limited data are available, the ADI must adopt a conservative bias in its analysis.
29. The requirements in paragraphs 30 to 35 of this Attachment apply to statistical models and other mechanical methods used to assign borrower or facility grades or pools, and in the estimation of PD, LGD and EAD.
31. Where an ADI uses a statistical model or other mechanical method in its rating process, the ADI must ensure that the model or other method has good predictive power and that the Regulatory Capital requirement will not be distorted as a result of its use. The variables that are used in the model or other method must form a reasonable set of predictors. On average, the model must be accurate across the range of borrowers or facilities to which the ADI is exposed. There must be no known material biases.
32. An ADI must have in place a process for vetting data inputs into a statistical model, which includes an assessment of the accuracy, completeness and appropriateness of the data specific to the assignment of a borrower or facility grade or pool.
33. An ADI must ensure that the data used to build its models are representative of the population of the ADI’s borrowers and facilities.
34. An ADI must have documented policies and procedures for reviewing model-based rating assignments. These policies and procedures must focus on finding and limiting errors associated with known model weaknesses. The ADI must make credible ongoing efforts to improve the model’s performance.
36. An ADI must document the design and operational details of its rating systems. Documentation must evidence the ADI’s compliance with minimum requirements and address:
(a) portfolio differentiation;
(b) rating criteria;
(c) responsibilities of parties that assign ratings to borrowers and facilities;
(d) the definition of what constitutes a rating override;
(e) parties that have the authority to approve overrides;
(f) frequency of rating reviews; and
(g) management oversight of the rating process.
37. An ADI must document the rationale for its choice of internal rating criteria and must be able to provide analysis demonstrating that its rating criteria and procedures are likely to result in ratings that meaningfully differentiate risk. These rating criteria and procedures must be periodically reviewed to determine whether they remain fully applicable to the current portfolio and to external conditions.
38. An ADI must document the history of major changes in its credit risk rating process and such documentation must support identification of changes made to the rating process.
39. The organisation of rating assignment, including the internal control structure, must be documented.
40. An ADI must document the specific definitions of default and loss that are used internally and ensure consistency with the reference definitions set out in this Attachment.
41. Where an ADI employs statistical models in its rating process, it must document its methodologies. This documentation must include:
(a) a detailed outline of the theory, assumptions or mathematical and empirical basis of the assignment of estimates to grades, individual borrowers, exposures or pools, and the data sources used to estimate the model;
(b) details of the statistical process (including out-of-time and out-of-sample performance tests) for validating the model; and
(c) any circumstances under which the model does not work effectively.
42. Where an ADI uses a third-party vendor model, the ADI must still comply with all of the requirements detailed in this Attachment, irrespective of any claims of proprietary technology or information by the third-party vendor.
43. For corporate, sovereign and financial institution exposures, each borrower and eligible guarantor or credit protection provider must be assigned a borrower grade and each exposure must be associated with a facility grade as part of the loan approval process. Similarly, for retail exposures, each exposure must be assigned to a pool as part of the loan approval process.
44. Each separate legal entity to which an ADI is exposed must be separately rated. The ADI must have documented policies regarding the treatment of individual entities in a connected group, including the circumstances under which the same rating may or may not be assigned to some or all related entities. Those policies must include a process to identify, monitor and control specific wrong-way risk for each legal entity to which the ADI is exposed.[10] An ADI must treat transactions in which it has identified specific wrong way risk differently when calculating EAD.
45. Rating assignments and periodic rating reviews must be completed or approved by a party that does not directly stand to benefit from the extension of credit. An ADI’s policies and procedures must document how independence of the rating assignment process is ensured.
46. The assignment of borrower and facility ratings must be reviewed and refreshed on at least an annual basis. Certain exposures, especially higher risk borrowers or problem exposures, must be subject to more frequent rating review. In addition, an ADI must initiate a new rating review when material information on the borrower or facility comes to light.
47. An ADI must have an effective process for obtaining and updating relevant and material information on the borrower’s financial condition and other characteristics that affect assigned estimates of PD, LGD and EAD. The ADI must also have a procedure for updating borrower and facility ratings in a timely fashion when relevant information is received.
48. An ADI must review the loss characteristics and delinquency status of each identified pool on at least an annual basis. This must include a review of the status of individual borrowers within each pool as a means of ensuring that exposures continue to be assigned to the correct pool.
49. For rating assignments based on expert judgement, an ADI must clearly document the situations in which officers may override the outputs of the rating process, including how and to what extent such overrides can be made and by whom.
50. For model-based ratings, an ADI must have guidelines and processes for monitoring cases where human judgement has overridden the model’s rating, variables that were excluded or inputs that were altered. Those guidelines must include identifying personnel who are responsible for approving such overrides.
51. An ADI must have systems that identify overrides and separately track their nature and performance.
52. An ADI must collect and store data, including on key borrower and facility characteristics, of sufficient detail, scope, reliability and consistency to support its internal credit risk measurement and management processes, enable the ADI to meet the requirements of this Prudential Standard and serve as a basis for regulatory reporting and the relevant disclosure requirements detailed in Prudential Standard APS 330 Public Disclosure. The data must be sufficiently detailed to facilitate ongoing improvements to the ADI’s rating systems and enable retrospective re-rating of borrowers and facilities when such improvements are envisaged.
53. Where an ADI sells a credit obligation at a material credit-related economic loss, the ADI must:
(a) maintain an internal register of these credit obligations;
(b) consider the data contained in the register in its rating system design and validation processes. The subsequent inclusion in, or exclusion from, those processes of any data contained in the register must be justified by the ADI and must not result in lower LGD estimates; and
(c) ensure that the creation and use of data contained in the register is transparent to independent reviewers of the ADI’s rating systems, such as the ADI’s internal or external auditors and APRA.
54. An ADI must maintain rating histories of borrowers and eligible guarantors or credit protection providers, including initial and subsequent ratings, the dates that ratings were assigned, the methodology and key data used to derive ratings and the officer responsible for the most recent rating.
55. An ADI must retain data on PD estimates, rating migrations and realised default rates associated with borrower grades.
56. An ADI using the AIRB approach must maintain a history of data on LGD estimates associated with each facility, the methodology and key data used to derive LGD estimates, the officer responsible for the most recent rating, and realised LGD rates associated with each defaulted facility.
57. Where an ADI uses the AIRB approach and reflects the risk-mitigating effects of guarantees or credit derivatives through its LGD estimates, it must retain data on the LGD of the facility before and after evaluation of the effects of the guarantee or credit derivative.
58. For each defaulted exposure, an ADI must retain information about the identity of the borrower and facility, the timing and circumstances of the default, and the components of loss and recovery, including amounts and sources of recoveries (e.g. collateral, liquidation proceeds and guarantees or credit derivatives), timing of cash flows and administrative costs.
59. Where an ADI uses supervisory estimates for LGD or EAD, it must retain sufficient data to validate the supervisory estimates.
60. An ADI must retain data on realised losses for specialised lending exposures subject to the supervisory slotting approach.
61. An ADI must retain data used in the process of allocating retail exposures to pools. This includes data on borrower and transaction risk characteristics used either directly or through the use of a model as well as data on delinquency.
62. An ADI must retain data on PD, LGD and EAD estimates associated with its pools of retail exposures.
63. An ADI must retain data on loss rates in order to allow analysis of the volatility of loss rates for exposures in the QRR asset class compared to other types of retail lending.
64. For defaulted exposures, an ADI must retain data on the pools to which the retail exposure was assigned over the year prior to default and the realised outcomes on LGD and EAD.
65. An ADI must have sound stress testing processes in place for use in the assessment of its capital adequacy, including the sufficiency of the IRB capital requirement. Stress testing must include:
(a) the identification of possible events or severe changes in economic conditions that could have unfavourable effects on the ADI’s credit exposures; and
(b) an assessment of the ADI’s ability to withstand such events or changes.
66. An ADI must also perform one or more credit risk stress tests to assess the effect of certain conditions on its IRB capital requirement. For this purpose, the ADI must, at a minimum, consider the effect of mild recession scenarios. The stress tests must be meaningful and conservative.
67. Internal ratings and PD, LGD and EAD estimates must play an integral role in the credit approval, risk management, internal capital allocation and governance functions of an ADI. Rating systems and estimates designed and implemented exclusively for the purpose of qualifying for an IRB approach and used only to provide IRB inputs are not acceptable.
68. Where there are differences between the credit risk estimates used by an ADI for Regulatory Capital and internal purposes, the ADI must:
(a) ensure that the data sources and methodologies utilised for determining its internal credit risk estimates are consistent with the estimates used to determine the Regulatory Capital requirement; and
(b) be able to justify, to APRA’s satisfaction, the reasonableness of those differences.
69. Internal estimates of PD, LGD and EAD must be reviewed on at least an annual basis and incorporate all relevant, material and available data and other information. In determining these estimates, an ADI may utilise internal data and relevant data from external sources (including pooled data).
70. Estimates must be grounded in historical experience and empirical evidence, and not based purely on subjective considerations. Changes in an ADI’s lending and collection practices over the observation period must be taken into account. Estimates must be forward looking and responsive to changes in credit quality ahead of loss experience rather than lag such experience. The ADI’s estimates must reflect the implications of technical advances, new data and other information as it becomes available. Where industry estimation practices evolve and improve over time, the ADI should consider these developments in assessing its own practices.
71. In order to avoid over-optimism in PD, LGD and EAD estimates, an ADI must add a margin of conservatism to its estimates that reflects the likely range of errors. Where methods and data are less satisfactory and the likely range of errors is larger, the margin of conservatism must be larger.
72. An ADI must record actual defaults using the reference definition of default detailed in APS 220.[11] The ADI must also use the reference definition of default for the estimation of PD and, where relevant, LGD and EAD (though this does not preclude the possibility of materiality considerations entering into the estimation process). In arriving at its estimates, the ADI may use external data that are not consistent with the reference definition of default provided it makes appropriate adjustments to the data to achieve broad equivalence with the reference definition. This same requirement also applies to any internal data collected prior to 1 January 2008. Internal data (including that pooled by a number of ADIs) collected subsequent to 1 January 2008 must be consistent with the reference definition of default.
73. An ADI must have clearly documented policies in respect of the counting of days past due and, in particular, in respect of the re-aging of facilities and the granting of extensions, deferrals, renewals and rewrites to existing accounts. Where the ADI treats a re-aged exposure in a similar fashion to other exposures that are considered to be in default, that exposure must be recorded as defaulted for Regulatory Capital purposes.
74. An ADI must estimate PD for each internal borrower grade for corporate, sovereign and financial institution exposures and for each pool of retail exposures.[12]
76. An ADI must estimate PD for each borrower grade or pool based on the observed historical one-year default rate that is calculated as a simple average based on the number of borrowers or facilities (that is, count weighted). Weighting approaches such as EAD weighting are not permitted.
77. The length of the underlying historical observation period used for the estimation of PD must be at least five years for at least one data source. If the available observations from any source span a longer period, and the data are relevant, this longer period must be used. The data should include a representative mix of good and bad years of the economic cycle relevant for the portfolio.
78. When estimating PD for each borrower grade, an ADI must use information and techniques that take appropriate account of long-run experience. These techniques may include the use of internal default experience, mapping to external data and statistical models. The ADI may have a primary PD estimation technique and use other techniques as a point of comparison and potential adjustment. The mechanical application of a technique without supporting analysis is not sufficient. The ADI must recognise the importance of judgemental considerations in combining the results of techniques and in making adjustments for limitations of techniques and information.
79. An ADI must use internal data as the primary source of information for estimating PD for retail exposures. The ADI may use other data sources for PD quantification provided a strong link can be demonstrated between its:
(a) process of assigning retail exposures to a pool and the process used by the other data source; and
(b) internal risk profile and the composition of the other data.
In all cases, the ADI must use all relevant and material data sources as points of comparison.
80. An ADI must estimate LGD based on a measure of economic loss. The ADI must take into account all relevant factors when measuring economic loss including material discount effects and material direct and indirect costs associated with collecting on an exposure. The ADI must not simply measure the loss recorded in its accounting records for LGD purposes, although it must be able to reconcile accounting and economic loss.
81. An ADI may make adjustments to its LGD estimates to reflect its own workout and collection expertise. Such adjustments must be supported by sufficient internal empirical evidence.
82. LGD estimates must take into account additional drawings after the time of default.
83. LGD estimates must reflect economic downturn conditions. That is, an ADI must take into account the potential for LGD to be higher than average during a period when defaults or credit losses are substantially higher than average.
84. Where loss severities do not exhibit cyclical variability, LGD estimates must not be less than the long-run default-weighted average LGD calculated as the average loss of all observed defaults within a data source for that type of exposure.
85. LGD estimates must be grounded in historical recovery rates and, where applicable, must not be based solely on the estimated market value of collateral.
86. To the extent that LGD estimates take into account the existence of collateral, an ADI must establish internal requirements for collateral management, operational procedures, legal certainty and risk management processes that are consistent with those detailed in Attachment G to APS 112 and Attachment E to this Prudential Standard.
87. For LGD estimation purposes, an ADI must consider the extent of any dependence between the risk of the borrower and that of the collateral or collateral provider. Cases where there is a significant degree of dependence must be addressed in a conservative manner. Currency mismatches between the underlying obligation and the collateral must also be considered and treated conservatively in the ADI’s assessment of LGD.
88. Estimates of LGD for corporate exposures must be based on a minimum data observation period that should ideally cover at least one complete economic cycle but, in any case, must be no shorter than a period of seven years from at least one source. If the available observation period spans a longer period from any source and the data are relevant and material, this longer period must be used.
89. The minimum data observation period for LGD estimates for retail exposures is five years from at least one data source. If the available observation period spans a longer period from any source and the data are relevant and material, this longer period must be used. The less data an ADI has, the more conservative it must be in its estimation of LGD.
91. An ADI must have procedures in place for the estimation of EAD for its off-balance sheet exposures. Estimates of EAD must reflect the possibility of additional drawings by the borrower up to the time a default event is triggered. However, additional drawings after the time of default must not be reflected in EAD and must instead be included in LGD. Where estimates of EAD differ by facility type, the delineation of these facilities must be clear and unambiguous.
92. An ADI must assign an estimate of EAD for each facility. EAD must be an estimate of the long-run default-weighted average EAD for similar facilities and borrowers over a sufficiently long period of time, with a margin of conservatism appropriate to the likely range of errors in the estimate. If a positive correlation can reasonably be expected between the default frequency and the magnitude of EAD, the EAD estimate must incorporate a larger margin of conservatism.
93. For exposures where EAD estimates are volatile over the economic cycle, an ADI must use EAD estimates that are appropriate for an economic downturn if these are more conservative than the long-run default-weighted average.
94. The criteria by which estimates of EAD are derived must be plausible, intuitive and represent what an ADI believes to be the material drivers of EAD. The criteria must be supported by credible internal analysis by the ADI. The ADI must be able to provide a breakdown of its EAD experience by the factors it sees as the drivers of EAD. The ADI must use all relevant and material information in its determination of EAD estimates.
95. An ADI’s EAD estimates must give due consideration to its policies and procedures in respect of account monitoring and payment processing. The ADI must consider its ability and willingness to prevent further drawings in circumstances short of payment default, such as covenant violations or other technical default events.
96. An ADI must have systems and procedures in place to monitor, on a daily basis, facility amounts, outstanding amounts against committed lines and changes in outstanding amounts for each borrower and borrower grade or pool.
97. An ADI’s EAD estimates must be developed using a one-year fixed-horizon approach; that is, for each observation in the reference dataset, default outcomes must be linked to relevant borrower and facility characteristics one year prior to default.
98. An ADI’s EAD estimates must be based on reference data that reflect the borrower, facility and ADI management practice characteristics of the exposures to which the estimates are applied. EAD estimates applied to particular exposures must not be based on data that co-mingle the effects of disparate characteristics or data from exposures that exhibit different characteristics. EAD estimates must be based on appropriately homogenous segments or an estimation approach that disentangles effectively the impact of the different characteristics exhibited within the relevant dataset.
99. Where an ADI estimates CCFs directly, it must ensure that those estimates are quarantined effectively from the potential effects of the region of instability associated with facilities that are close to being fully drawn at the reference date.
100. EAD reference data must not be capped at the principal amount outstanding or facility limits. Accrued interest, other due payments and limit excesses must be included in EAD reference data.
101. The minimum data observation period for EAD estimation is five years from at least one data source. If the available observation period spans a longer period from any source and the data are relevant and material, this longer period must be used. The less data an ADI has, the more conservative it must be in its estimation of EAD.
103. An ADI must have a robust and documented system in place to validate the accuracy and consistency of rating systems, processes and the estimation of all relevant credit risk components. The ADI must ensure that the internal validation process enables it to assess the performance of its internal rating and credit risk estimation systems in a meaningful and consistent manner.
104. Validation must be undertaken at least annually by personnel that are independent of those responsible for the development of an ADI’s rating systems and risk estimates.
105. An ADI must regularly compare realised default rates with PD estimates for each borrower grade or pool and ensure that the realised default rates are within the expected range for each grade or pool. An ADI using its own LGD and EAD estimates must also complete such analysis for those estimates. Comparisons must make use of historical data over as long a time period as possible. The methods and data used in these comparisons must be clearly documented. This analysis and documentation must be updated at least annually.
106. An ADI must also use other quantitative validation tools and comparisons with relevant external data sources. The analysis must be based on data that are appropriate to the portfolio, updated regularly and cover a relevant observation period. The ADI’s internal assessment of the performance of its rating systems must be based on long data histories covering a range of economic conditions and, ideally, one or more complete business cycles.
107. An ADI must ensure that quantitative testing methods and other validation methods do not vary systematically with the economic cycle. Changes in methods and data (both data sources and periods covered) must be clearly and thoroughly documented.
108. An ADI must have documented internal standards for situations where deviations from expectations in realised PD rates and, where applicable, LGD and EAD rates, become significant enough to call the validity of the estimates into question. These standards must take account of business cycles and similar systematic variability in default experience. Where realised values continue to be higher than expected values, the ADI must revise its estimates upward to reflect its actual default and loss experience.
109. An ADI that uses supervisory, rather than internal, estimates of LGD and EAD must compare realised LGD and EAD rates to those set by APRA and use this information in its internal assessment of capital adequacy. The ADI must also complete such analysis in relation to EAD for arrangements that are excluded from the definition of a commitment under paragraph 3 of Attachment C to APS 112.
(a) financial collateral;
(b) financial receivables;
(c) commercial real estate and residential real estate; and
(d) other physical collateral.
2. Eligible financial collateral is collateral that meets the minimum requirements detailed in Attachment G to APS 112.
3. Eligible financial receivables are exposures with an original maturity of one year or less, where repayment occurs through the commercial or financial flows related to the borrower’s underlying business operations. This includes:
(a) self-liquidating debt arising from the sale of goods or services linked to a commercial transaction; and
(b) general amounts owed by buyers, suppliers, renters, national and local government authorities or other non-affiliated parties that are not related to the sale of goods or services linked to a commercial transaction.
Receivables from affiliates of the borrower (including subsidiaries and employees) and receivables associated with securitisations, sub-participations and credit derivatives must not be recognised as eligible financial receivables.
(a) the ADI has a perfected first priority security interest in the collateral which is legally enforceable in all relevant jurisdictions. The ADI’s procedures must ensure that any legal conditions required for declaring the default of the customer are observed, and the ADI must be able to realise the collateral within a reasonable timeframe. In the event of the borrower’s financial distress or default, the ADI must have the legal authority to sell or assign the receivables to other parties without the consent of the receivables’ obligors;
(b) the ADI assesses the credit risk of the financial receivables taken as collateral. Where the ADI relies on the borrower to ascertain the credit risk of the receivables, it must review the borrower’s credit policy to determine its soundness and credibility;
(c) the margin between the amount of the exposure and the value of the receivables must reflect the cost of collection, concentration within the receivables pool and concentration across the ADI’s total exposures;
(d) the ADI maintains a continuous monitoring process over the financial receivables taken as collateral;
(e) the ADI has concentration limits that it monitors;
(f) the receivables should be diversified and must not be unduly correlated with the borrower. Where the correlation is high, the attendant risks must be taken into account in the setting of margins for the collateral pool as a whole; and
(g) the ADI has a documented process and the requisite facilities for collecting cash remittances from the receivables’ obligor in the event of the borrower’s distress or bankruptcy.
(a) the risk of the borrower defaulting is not materially dependent upon the performance or cash flow of the underlying real estate asset or project but rather on the underlying capacity of the borrower to repay the credit obligation from other sources;
(b) the value of the collateral is not materially dependent upon the performance of the borrower. This requirement is not intended to preclude situations where purely macro-economic factors affect both the value of the collateral and the performance of the borrower;
(d) the collateral is valued at no more than the current fair value under which it could be sold under contract between a willing seller and an independent buyer on the date of valuation;
(e) the ADI monitors the value of the collateral on at least an annual basis. More frequent monitoring is required where the market is subject to significant changes in value;
(f) the ADI’s lending policies clearly document the types of commercial real estate and residential real estate collateral that are acceptable to the ADI. Exceptions to, or overrides of, the ADI’s policy must not be recognised as eligible commercial real estate and residential real estate collateral;
(g) the ADI ensures that the real estate asset taken as collateral is adequately insured;
(h) the ADI monitors and takes into account prior claims (e.g. taxation liabilities) on the real estate asset; and
(i) the ADI monitors the risk of environmental liability arising in respect of the collateral.
Junior liens over commercial real estate or residential real estate may be taken into account where there is no doubt that the claim for collateral is legally enforceable and constitutes effective credit risk mitigation.
(a) markets are well-developed and long-established;
(b) losses stemming from lower risk IPRE lending (defined as exposures up to the lower of 50 per cent of the market value or 60 per cent of the lending value) are less than 0.3 per cent of outstanding IPRE exposures in each of the past three years;
(c) overall losses stemming from IPRE lending are less than 0.5 per cent of outstanding IPRE exposures in each of the past three years;
(d) the ADI publicly discloses how it has satisfied the conditions in sub-paragraphs (b) and (c); and
(e) the conditions detailed in sub-paragraphs 5(c) to 5(i) of this Attachment are also satisfied.
If the ADI is unable to satisfy these requirements, it must immediately cease to recognise IPRE as eligible collateral.
7. An ADI may recognise other physical collateral where the following conditions are met:
(c) the ADI must have a perfected security interest in the collateral, such that it has priority over all other lenders to the realised proceeds of the collateral. The security interest must be legally enforceable in all relevant jurisdictions, and the ADI must be able to realise the value of the collateral within a reasonable timeframe;
(d) the facility agreement must include detailed descriptions of the collateral and the right to examine and revalue the collateral at the sole discretion of the ADI;
(g) the ADI must have the right to physically inspect the collateral and have policies and procedures in place that set out the minimum frequency of inspection (physical or otherwise) for different types of collateral and the circumstances in which an inspection (physical or otherwise) of the collateral must be performed immediately;
(h) the ADI must have clearly documented credit policies and procedures that detail the:
(i) types of physical collateral accepted by the ADI, and policies and practices in respect of the appropriate amount of each type of collateral relative to the exposure amount;
(ii) ADI’s ability to liquidate the collateral readily; and
(iii) ADI’s ability to objectively establish a price or market value of the collateral, frequency with which the value can be readily obtained, and the volatility of the value of the collateral. The periodic revaluation process must pay particular attention to ‘fashion-sensitive’ collateral to ensure that valuations are appropriately adjusted downward for fashion, or model-year, obsolescence as well as physical obsolescence or deterioration;
(i) the ADI ensures that the collateral is adequately insured; and
(j) the ADI monitors the risk of environmental liability arising in respect of the collateral.
8. An ADI must have clearly documented policies and procedures for assessing each type of physical collateral against the conditions detailed in paragraph 7 of this Attachment. For this purpose, the ADI must consider:
(a) in relation to sub-paragraph 7(a) of this Attachment, the attributes of the collateral such as the degree of customisation or standardisation, location of the market in which the collateral is expected to be exchanged, age, condition and reusability of the collateral, transaction costs (including the time to transaction), and the prevalence of brokers and dealers; and
(b) where applicable, in relation to sub-paragraph 7(b) of this Attachment, the credibility of the appraiser and the reliability of their appraisals.
9. An ADI must maintain a register of physical collateral deemed to be eligible collateral based on an assessment against the conditions detailed in paragraph 7 of this Attachment. The register must be kept up-to-date and made available to APRA upon request.
10. Where an ADI’s exposure is secured by a general security agreement (or an equivalent form of floating charge) over both eligible collateral and other types of collateral, it may only recognise the security interest over eligible collateral. Recognition is conditional on the eligible collateral meeting the relevant operational requirements detailed in this Attachment.
11. In addition to the minimum requirements for the eligible collateral type, an ADI must also satisfy the following requirements in relation to its lease exposures:
(a) robust risk management practices with respect to the location of the leased asset, its use, age and planned obsolescence;
(b) a robust legal framework establishing the ADI’s legal ownership of the leased asset and its ability to exercise its rights as owner in a timely manner; and
(c) the difference between the rate of depreciation of the leased asset and the rate of amortisation of the lease payments must not be so large as to overstate the credit risk mitigation effect of the leased asset.
12. In order to recognise the use of CRM techniques to reduce Regulatory Capital requirements, all documentation that supports the use of the CRM technique must be binding on all parties and legally enforceable in all relevant jurisdictions. An ADI must have undertaken sufficient legal review to be satisfied of the legal enforceability of the CRM technique, and must undertake periodic reviews to confirm its ongoing enforceability.
13. All recognised guarantors and credit protection providers must be assigned a borrower rating at the outset and on an ongoing basis. An ADI must follow the minimum requirements for assigning borrower ratings as set out in Attachment D to this Prudential Standard. The ADI must undertake regular monitoring of the financial condition of the guarantor or credit protection provider, and its ability and willingness to honour its obligations.
14. An ADI must have documented criteria for adjusting PD or LGD estimates to reflect the impact of guarantees and credit derivatives under the substitution approaches. These criteria must:
(a) be consistent with the requirements for assigning exposures to borrower or facility grades or pools as set out in paragraphs 19 to 23 of Attachment D to this Prudential Standard;
(b) be plausible and intuitive, and address the guarantor or credit protection provider’s ability and willingness to perform under the guarantee or credit derivative;
(c) address the likely timing of any payments and the degree to which the guarantor or credit protection provider’s ability to perform under the guarantee or credit derivative is correlated with the borrower’s ability to repay; and
(d) consider the extent to which residual risks remain.
15. The criteria used for adjusting PD or LGD estimates for exposures covered by credit derivatives must also:
(a) require that the asset on which the protection is based (the reference asset) not be different from the underlying asset unless the conditions detailed in paragraphs 10 and 11 of Attachment J to APS 112 are met; and
(b) address the payout structure of the credit derivative and conservatively assess the impact this has on the level and timing of recoveries.
Where a credit derivative does not cover the restructuring of the underlying asset, partial recognition is allowed as detailed in paragraph 9 of Attachment J to APS 112.
16. In adjusting PD or LGD estimates to reflect the impact of guarantees and credit derivatives, an ADI must take all relevant, material information into account.
17. An ADI must retain all relevant information on the assignment of an exposure to a borrower or facility grade or pool, and the estimation of PD and LGD, independently of the assessed effect of the guarantee or credit derivative.
18. For exposures subject to the FIRB approach, an ADI must meet the requirements detailed in Attachment I to APS 112 to recognise a guarantee as eligible CRM. In addition to the eligible guarantors detailed in APS 112, the ADI may also recognise borrowers that are internally rated as eligible guarantors.
19. For exposures subject to the FIRB approach, an ADI must meet the requirements detailed in Attachment J to APS 112 to recognise credit derivatives as eligible CRM.
20. For exposures subject to the AIRB or retail IRB approach, an ADI is not limited in its recognition of eligible guarantors or credit protection providers provided it has clearly documented criteria for the types of guarantors or credit protection providers it will recognise for Regulatory Capital purposes. Additionally, the guarantee or credit derivative must be:
(a) evidenced in writing;
(b) non-cancellable on the part of the guarantor or credit protection provider;
(c) in force until the obligation is satisfied in full (to the extent of the amount and tenor of the guarantee or credit derivative); and
(d) unconditional, such that it does not include any clauses that are outside the direct control of the ADI, or that could prevent the guarantor or credit protection provider from being obliged to pay out in a timely manner in the event that the borrower fails to make the payment(s) due. However, the ADI may recognise guarantees or credit derivatives that only cover the loss remaining after the ADI has first pursued the borrower for payment and has completed the workout process.
21. For exposures subject to the AIRB or retail IRB approach, an ADI may recognise the risk mitigating effects of first-to-default credit derivatives but must not recognise second-to-default or nth-to-default credit derivatives.
(a) retail receivables, where the underlying receivables meet the definition of retail exposures; or
(b) corporate receivables, where the underlying receivables meet the definition of corporate exposures.
2. When estimating PD and LGD for purchased retail receivables or purchased corporate receivables, an ADI may utilise internal or external reference data. The estimates must be determined on a stand-alone basis without regard to any assumption of recourse of guarantees from the seller or other parties.
3. An ADI must calculate the capital requirement for default risk for purchased retail receivables using the relevant retail risk-weight function in accordance with Attachment A to this Prudential Standard.
4. For hybrid pools containing receivables belonging to more than one retail sub-asset class, if a purchasing ADI cannot separate the exposures by the type of retail sub-asset class, the risk-weight function that produces the highest capital requirement at each PD level must be applied.
6. Where an ADI is unable to calculate the capital requirement for default risk for purchased corporate receivables as detailed in paragraph 5 of this Attachment, the ADI may use a top-down approach for purchased corporate receivables. The use of a top-down approach is subject to prior approval from APRA.
7. To be eligible for the top-down approach, purchased corporate receivables must satisfy the following conditions:
(a) the receivables are purchased from unrelated, third-party sellers (i.e. an ADI has not been directly or indirectly involved in originating the receivables);
(b) the receivables have been generated on an arms-length basis between the seller and the obligors. Inter-company accounts receivable and receivables subject to contra-accounts between firms that buy and sell amongst each other are ineligible;[13]
(c) the purchasing ADI has a claim on all proceeds from the pool of receivables or a pro rata interest in the proceeds commensurate with its exposure to the pool;[14] and
(d) the maximum size of an individual exposure in the pool of receivables is less than $100,000.
8. The existence of full or partial recourse to the seller does not automatically disqualify an ADI from adopting a top-down approach provided the cash flows from the purchased corporate receivables are the primary source of ultimate repayment.
9. Under the top-down approach, an ADI must segment pools of purchased corporate receivables into homogenous buckets. The risk weight for default risk must be determined using the risk-weight function for corporate exposures as detailed in Attachment A to this Prudential Standard.[15]
10. An ADI must estimate PD and LGD for each of the homogenous segmented pools of purchased corporate receivables in accordance with its IRB approval for corporate exposures. The ADI must also calculate:
(a) EAD as the amount outstanding for each segmented pool less the capital requirement for dilution risk for each segmented pool prior to CRM or, for a revolving purchase facility, the sum of the current amount of receivables purchased plus 40 per cent of any undrawn purchase commitments less the capital requirement for dilution risk prior to CRM; and
(b) M for drawn amounts as equal to the segmented pools’ exposure-weighted average maturity. This same value of M must also be used for any undrawn amounts to which the ADI is committed under a purchased receivables facility, provided that the facility contains covenants, early amortisation triggers or other features that protect the purchasing ADI against a significant deterioration in the quality of the future receivables it is required to purchase over the facility’s term. In the absence of such protection, the M for undrawn amounts must be calculated as the sum of:
(i) the longest-dated potential receivable under the purchase agreement; and
(ii) the remaining maturity of the purchase facility.
11. Unless a purchasing ADI can demonstrate to APRA that dilution risk is immaterial, it must hold capital for dilution risk for purchased corporate and retail receivables.
12. An ADI must calculate the capital requirement for dilution risk for purchased receivables, at either the level of the segmented pool or the individual receivables making up a pool, using the corporate risk-weight function. PD must be set equal to the estimate of the expected long-run average annual loss rate (expressed as a percentage of the exposure amount, i.e. the total EAD owed to the ADI by all obligors in the relevant pool of receivables) and LGD must be set to 100 per cent.
13. An ADI may utilise internal or external reference data to estimate an expected long-run average annual loss rate for dilution risk. These estimates must be calculated on a stand-alone basis without regard to any assumption of recourse or guarantees from the seller or other parties.
14. An appropriate maturity must be used when determining the capital requirement for dilution risk. If an ADI can demonstrate to APRA that dilution risk is appropriately monitored and managed so as to be resolved within one year of acquisition of the purchased receivables, APRA may grant an approval allowing the ADI to base its calculations on a one-year maturity assumption.
15. Where a portion of any purchase price discount is refundable to the seller, the refundable amount must be treated as first-loss protection under APS 120. Non-refundable purchase price discounts for purchased receivables do not affect the Regulatory Capital calculation.
16. When collateral or partial guarantees obtained on purchased receivables provide first-loss protection covering default losses, dilution losses, or both, they must be recognised as first-loss protection under APS 120.
17. An ADI may recognise a guarantee for purchased receivables where the guarantee meets the requirements in Attachment E to this Prudential Standard. If the guarantee covers:
(a) a pool’s default risk and dilution risk, the ADI may substitute the risk weight for an exposure to the guarantor in place of the relevant pool’s total risk weight for default and dilution risks;
(b) only one of either default risk or dilution risk, the ADI may substitute the risk weight for an exposure to the guarantor in place of the relevant pool’s risk weight for the corresponding risk. The capital requirement for the non-guaranteed component must then be added; and
(c) only a portion of the default or dilution risk of a relevant pool, the uncovered portion must be treated using the rules for proportional or tranched cover detailed in APS 112.
18. The minimum requirements for risk quantification detailed in paragraphs 19 to 21 of this Attachment must be satisfied in order to apply the top-down approach for:
(a) default risk (in relation to purchased corporate receivables); or
(b) dilution risk (in relation to purchased corporate or retail receivables).
20. The risk-bucketing process applied by an ADI must reflect the seller’s underwriting practices and heterogeneity of its customers. Methods and data for estimating PD, LGD and expected long-run average loss rates must comply with the risk quantification standards for retail exposures detailed in Attachment D to this Prudential Standard.
Table 9 Slotting criteria for project finance exposures
| Strong | Good | Satisfactory | Weak |
Financial Strength | ||||
Market Conditions | There are few competing suppliers or there is a substantial and durable advantage in location, cost or technology. Demand is strong and growing. | There are few competing suppliers or there is a better than average location, cost or technology but this situation may not last. Demand is strong and stable. | The project has no advantage in location, cost or technology. Demand is adequate and stable. | The project has worse than average location, cost or technology. Demand is weak and declining. |
Financial ratios (e.g. debt service coverage ratio (DSCR), loan life coverage ratio (LLCR), project life coverage ratio (PLCR) and debt-to-equity ratio) | The project has strong financial ratios considering the level of project risk and very robust economic assumptions. | The project has strong to acceptable financial ratios considering the level of project risk and robust project economic assumptions. | The project has standard financial ratios considering the level of project risk. | The project has aggressive financial ratios considering the level of project risk. |
Stress analysis | The project can meet its financial obligations under sustained severely stressed economic or sectoral conditions. | The project can meet its financial obligations under stressed economic or sectoral conditions. The project is only likely to default under severe economic conditions. | The project is vulnerable to stresses that are not uncommon through an economic cycle and may default in a normal downturn. | The project is likely to default unless conditions improve soon. |
Financial structure |
|
|
|
|
Duration of the exposure compared to the duration of the project | The useful life of the project significantly exceeds the tenor of the loan. | The useful life of the project exceeds the tenor of the loan. | The useful life of the project exceeds the tenor of the loan. | The useful life of the project may not exceed the tenor of the loan. |
Amortisation schedule | Amortising debt. | Amortising debt. | Amortising debt repayments with limited balloon payment. | Bullet payment or amortising debt with high balloon repayment. |
Political and legal environment | ||||
Political risk, including transfer risk, considering project type and mitigants | The project has very low exposure; there are strong mitigation instruments, if needed. | The project has low exposure; there are satisfactory mitigation instruments, if needed. | The project has moderate exposure; there are fair mitigation instruments. | The project has high exposure; the mitigation instruments are weak or there are none. |
Force majeure risk (war, civil unrest, etc) | Low exposure. | Acceptable exposure. | Standard protection. | There are significant risks which are not fully mitigated. |
Government support and project’s importance for the country over the long term | The project is of strategic importance for the country (preferably export-oriented). It has strong support from the government. | The project is considered important for the country. It has a good level of support from the government. | The project may not be strategic but brings unquestionable benefits for the country. Government support may not be explicit. | The project is not key to the country. The support from the government, if any, is weak. |
Stability of legal and regulatory environment (risk of change in law) | The regulatory environment is favourable and stable over the long term. | The regulatory environment is favourable and stable over the medium term. | Regulatory changes can be predicted with a fair level of certainty. | Current or future regulatory issues may affect the project. |
Acquisition of all necessary supports and approvals for relief from local content laws | Strong. | Satisfactory. | Fair. | Weak. |
Enforceability of contracts, collateral and security | Contracts, collateral and security are enforceable. | Contracts, collateral and security are enforceable. | Contracts, collateral and security are considered enforceable even if certain non-key issues exist. | There are unresolved key issues in respect of actual enforcement of contracts, collateral and security. |
Transaction characteristics | ||||
Design and technology risk | The project has fully proven technology and design. | The project has fully proven technology and design. | The project has proven technology and design; start-up issues are mitigated by a strong completion package. | The project has unproven technology and design; technology issues exist and/or complex design. |
Construction risk |
|
|
|
|
Permitting and siting | All permits have been obtained. | Some permits are still outstanding but their receipt is considered very likely. | Some permits are still outstanding but the permitting process is well defined and they are considered routine. | Key permits still need to be obtained and are not considered routine. Significant conditions may be attached. |
Type of construction contract | Fixed-price date-certain turnkey construction engineering and procurement contract (EPC). | Fixed-price date-certain turnkey construction EPC. | Fixed-price date-certain turnkey construction contract with one or several contractors. | No or partial fixed-price turnkey contract and/or interfacing issues with multiple contractors. |
Completion guarantees | The liquidated damages are substantial and are supported by financial substance and/or strong completion guarantee from sponsors with excellent financial standing. | The liquidated damages are significant and are supported by financial substance and/or completion guarantee from sponsors with good financial standing. | The liquidated damages are adequate and are supported by financial substance and/or completion guarantee from sponsors with good financial standing. | The liquidated damages are inadequate or not supported by financial substance, or weak completion guarantees. |
Track record and financial strength of contractor in constructing similar projects | Strong. | Satisfactory. | Fair. | Weak. |
Operating risk |
|
|
|
|
Scope and nature of operations and maintenance (O&M) contracts | There is a strong long-term O&M contract, preferably with contractual performance incentives and/or O&M reserve accounts. | There is a long-term O&M contract and/or O&M reserve accounts. | There is a limited O&M contract or O&M reserve account. | There is no O&M contract. There is a risk of high operational cost overruns beyond mitigants. |
Operator’s expertise, track record and financial strength | Very strong, or committed technical assistance of the sponsors. | Strong. | Acceptable. | Limited/weak, or local operator dependent on local authorities. |
Off-take risk |
|
|
|
|
If there is a take-or-pay or fixed-price off-take contract | The off-taker has excellent creditworthiness. There are strong termination clauses. The tenor of the contract comfortably exceeds the maturity of the debt. | The off-taker has good creditworthiness. There are strong termination clauses. The tenor of the contract exceeds the maturity of the debt. | The off-taker’s financial standing is acceptable. There are normal termination clauses. The tenor of the contract generally matches the maturity of the debt. | The off-taker is considered weak and there are weak termination clauses. The tenor of the contract does not exceed the maturity of the debt. |
If there is no take-or-pay or fixed-price off-take contract | The project produces essential services or a commodity sold widely on a world market. Output can readily be absorbed at projected prices even at lower than historic market growth rates. | The project produces essential services or a commodity sold widely on a regional market that will absorb it at projected prices at historical growth rates. | The commodity is sold on a limited market that may absorb it only at lower than projected prices. | The project output is demanded by only one or a few buyers or is not generally sold on an organised market. |
Supply risk |
|
|
|
|
Price, volume and transportation risk of feed-stocks; supplier’s track record and financial strength | There is a long-term supply contract with a supplier of excellent financial standing. | There is a long-term supply contract with a supplier of good financial standing. | There is a long-term supply contract with a supplier of good financial standing – a degree of price risk may remain. | There is a short-term supply contract, or long-term contract with a financially weak supplier –price risk definitely remains. |
Reserve risks (e.g. natural resource development) | Reserves are independently audited, proven and developed and are well in excess of requirements over lifetime of the project. | Reserves are independently audited, proven and developed and are in excess of requirements over lifetime of the project. | Reserves are proven and can supply the project adequately through the maturity of the debt. | The project relies to some extent on potential and undeveloped reserves. |
Strength of sponsor | ||||
Sponsor’s track record, financial strength and country/sector experience | The sponsor is strong with an excellent track record and high financial standing. | The sponsor is good with a satisfactory track record and good financial standing. | The sponsor is adequate with an adequate track record and good financial standing. | The sponsor is weak with a questionable/no track record and/or financial weaknesses. |
Sponsor support, as evidenced by equity, ownership clause and incentive to inject additional cash if necessary | Strong. The project is highly strategic for the sponsor (core business – long-term strategy). | Good. The project is strategic for the sponsor (core business – long-term strategy). | Acceptable. The project is considered important for the sponsor (core business). | Limited. The project is not key to the sponsor’s long-term strategy or core business. |
Security package | ||||
Assignment of contracts and accounts | Fully comprehensive. | Comprehensive. | Acceptable. | Weak. |
Pledge of assets, taking into account quality, value and liquidity of assets | First perfected security interest in all project assets, contracts, permits and accounts necessary to run the project. | Perfected security interest in all project assets, contracts, permits and accounts necessary to run the project. | Acceptable security interest in all project assets, contracts, permits and accounts necessary to run the project. | Little security or collateral for lenders; weak negative pledge clause. |
Lender’s control over cash flow (e.g. cash sweeps, independent escrow accounts) | Strong. | Satisfactory. | Fair. | Weak. |
Strength of the covenant package (mandatory prepayments, payment deferrals, payment cascade, dividend restrictions, etc) | The covenant package is strong for this type of project. The project may issue no additional debt. | The covenant package is satisfactory for this type of project. The project may issue extremely limited additional debt. | The covenant package is fair for this type of project. The project may issue limited additional debt. | The covenant package is insufficient for this type of project. The project may issue unlimited additional debt. |
Reserve funds (debt service, O&M, renewal and replacement, unforeseen events, etc) | There is a longer than average coverage period, all reserve funds are fully funded in cash or letters of credit from highly rated banks. | There is an average coverage period and all reserve funds fully funded. | There is an average coverage period and all reserve funds fully funded. | The coverage period is shorter than average and reserve funds are funded from operating cash flows. |
Table 10 Slotting criteria for income-producing real estate exposures
| Strong | Good | Satisfactory | Weak |
Financial Strength | ||||
Market conditions | The supply and demand for the project’s type and location are currently in equilibrium. The number of competitive properties coming to market is equal or lower than forecasted demand. | The supply and demand for the project’s type and location are currently in equilibrium. The number of competitive properties coming to market is roughly equal to forecasted demand. | Market conditions are roughly in equilibrium. Competitive properties are coming on the market and others are in the planning stages. The project’s design and capabilities may not be state of the art compared to new projects. | Market conditions are weak. It is uncertain when conditions will improve and return to equilibrium. The project is losing tenants at lease expiration. New lease terms are less favourable compared to those expiring. |
Financial ratios and advance rate | The property’s DSCR is considered strong (DSCR is not relevant for the construction phase) and its loan-to-valuation ratio (LVR) is considered low given its property type. Where a secondary market exists, the transaction is underwritten to market standards. | The DSCR (not relevant for development real estate) and LVR are satisfactory. Where a secondary market exists, the transaction is underwritten to market standards. | The property’s DSCR has deteriorated and its value has fallen, increasing its LVR. | The property’s DSCR has deteriorated significantly and its LVR is well above underwriting standards for new loans. |
Stress analysis | The property’s resources, contingencies and liability structure allow it to meet its financial obligations during a period of severe financial stress (e.g. increase in interest rates, downturn in economic growth). | The property can meet its financial obligations under a sustained period of financial stress (e.g. increase in interest rates, downturn in economic growth). The property is likely to default only under severe economic conditions. | During an economic downturn, the property would suffer a decline in revenue that would limit its ability to fund capital expenditures and significantly increase the risk of default. | The property’s financial condition is strained and is likely to default unless conditions improve in the near term. |
Cash-flow predictability |
|
|
|
|
For complete and stabilised property | The property’s leases are long-term with creditworthy tenants and their maturity dates are scattered. The property has a track record of tenant retention upon lease expiration. Its vacancy rate is low. Expenses (maintenance, insurance, security and property taxes) are predictable. | Most of the property’s leases are long-term, with tenants that range in creditworthiness. The property experiences a normal level of tenant turnover upon lease expiration. Its vacancy rate is low. Expenses are predictable. | Most of the property’s leases are medium-term rather than long-term with tenants that range in creditworthiness. The property experiences a moderate level of tenant turnover upon lease expiration. Its vacancy rate is moderate. Expenses are relatively predictable but vary in relation to revenue. | The property’s leases are of various terms with tenants that range in creditworthiness. The property experiences a very high level of tenant turnover upon lease expiration. Its vacancy rate is high. Significant expenses are incurred preparing space for new tenants. |
For complete but not stabilised property | Leasing activity meets or exceeds projections. The project should achieve stabilisation in the near future. | Leasing activity meets or exceeds projections. The project should achieve stabilisation in the near future. | Most leasing activity is within projections however, stabilisation will not occur for some time. | Market rents do not meet expectations. Despite achieving target occupancy rate, cash flow coverage is tight due to disappointing revenue. |
For construction phase | The property is entirely pre-leased through the tenor of the loan or pre-sold to an investment grade tenant or buyer or the ADI has a binding commitment for take-out financing from an investment grade lender. | The property is entirely pre-leased or pre-sold to a creditworthy tenant or buyer or the ADI has a binding commitment for permanent financing from a creditworthy lender. | Leasing activity is within projections but the building may not be pre-leased and take-out financing may not exist. The ADI may be the permanent lender. | The property is deteriorating due to cost overruns, market deterioration, tenant cancellations or other factors. There may be a dispute with the party providing the permanent financing. |
Asset characteristics | ||||
Location | The property is located in a highly desirable location that is convenient to services that tenants desire. | The property is located in a desirable location that is convenient to services that tenants desire. | The property location lacks a competitive advantage. | The property’s location, configuration, design and maintenance have contributed to the property’s difficulties. |
Design and condition | The property is favoured due to its design, configuration and maintenance and is highly competitive with new properties. | The property is appropriate in terms of its design, configuration and maintenance. The property’s design and capabilities are competitive with new properties. | The property is adequate in terms of its configuration, design and maintenance. | Weaknesses exist in the property’s configuration, design or maintenance. |
Property is under construction | The construction budget is conservative and technical hazards are limited. Contractors are highly qualified. | The construction budget is conservative and technical hazards are limited. Contractors are highly qualified. | The construction budget is adequate and contractors are ordinarily qualified. | The project is over budget or unrealistic given its technical hazards. Contractors may be under qualified. |
Strength of sponsor/developer | ||||
Financial capacity and willingness to support the property | The sponsor/developer made a substantial cash contribution to the construction or purchase of the property. The sponsor/developer has substantial resources and limited direct and contingent liabilities. The sponsor/developer’s properties are diversified geographically and by property type. | The sponsor/developer made a material cash contribution to the construction or purchase of the property. The sponsor/developer’s financial condition allows it to support the property in the event of a cash flow shortfall. The sponsor/developer’s properties are located in several geographic regions. | The sponsor/developer’s contribution may be immaterial or non-cash. The sponsor/developer is average to below average in financial resources. | The sponsor/developer lacks capacity or willingness to support the property. |
Reputation and track record with similar properties | Management are experienced and the sponsor’s quality is high. Strong reputation, lengthy and successful record with similar properties. | Appropriate management and sponsor’s quality. The sponsor or management has a successful record with similar properties. | Moderate management and sponsor’s quality. The management or sponsor track record does not raise serious concerns. | Ineffective management and sub-standard sponsor’s quality. The management and sponsor difficulties have contributed to difficulties in managing properties in the past. |
Relationships with relevant real estate agents | Strong relationships with leading agents such as leasing agents. | Proven relationships with leading agents such as leasing agents. | Adequate relationships with leasing agents and other parties providing important real estate services. | Poor relationships with leasing agents and/or other parties providing important real estate services. |
Security package | ||||
Nature of lien | Perfected first lien. | Perfected first lien. | Perfected first lien. | Ability of lender to foreclose is constrained. |
Assignment of rents (for projects leased to long-term tenants) | The lender has obtained an assignment. They maintain current tenant information that would facilitate providing notice to remit rents directly to the lender, such as a current rent roll and copies of the project’s leases. | The lender has obtained an assignment. They maintain current tenant information that would facilitate providing notice to the tenants to remit rents directly to the lender, such as current rent roll and copies of the project’s leases. | The lender has obtained an assignment. They maintain current tenant information that would facilitate providing notice to the tenants to remit rents directly to the lender, such as current rent roll and copies of the project’s leases. | The lender has not obtained an assignment of the leases or has not maintained the information necessary to readily provide notice to the building’s tenants. |
Quality of the insurance coverage | Appropriate. | Appropriate. | Appropriate. | Sub-standard. |
Table 11 Slotting criteria for object finance exposures
| Strong | Good | Satisfactory | Weak |
Financial Strength | ||||
Market Conditions | Demand is strong and growing. There are strong entry barriers and low sensitivity to changes in technology and economic outlook. | Demand is strong and stable. There are some entry barriers and some sensitivity to changes in technology and economic outlook. | Demand is adequate and the entry barriers are limited and stable. There is significant sensitivity to changes in technology and economic outlook. | Demand is weak and declining, vulnerable to changes in technology and economic outlook and a highly uncertain environment. |
Financial ratios (debt service coverage ratio and LVR) | The financial ratios are strong considering the type of asset. Very robust economic assumptions. | The financial ratios are strong/acceptable considering the type of asset. Robust project economic assumptions. | The financial ratios are standard for the asset type. | The financial ratios are aggressive considering the type of asset. |
Stress analysis | Long-term revenues are stable and capable of withstanding severely stressed conditions through an economic cycle. | Short-term revenues are satisfactory. The loan can withstand some financial adversity. Default is only likely under severe economic conditions. | Short-term revenues are uncertain. Cash flows are vulnerable to stresses that are not uncommon through an economic cycle. The loan may default in a normal downturn. | Revenues are subject to strong uncertainties. Even in normal economic conditions the asset may default, unless conditions improve. |
Market liquidity | The market is structured on a worldwide basis. Assets are highly liquid. | The market is worldwide or regional. Assets are relatively liquid. | The market is regional with limited prospects in the short term, implying lower liquidity. | The market is local and/or has poor visibility. There is low or no liquidity, particularly in niche markets. |
Political and legal environment | ||||
Political risk, including transfer risk | Very low. There are strong mitigation instruments, if needed. | Low. There are satisfactory mitigation instruments, if needed. | Moderate. There are fair mitigation instruments. | High. The mitigation instruments, if any, are weak. |
Legal and regulatory risks | The jurisdiction is favourable to repossession and enforcement of contracts. | The jurisdiction is favourable to repossession and enforcement of contracts. | The jurisdiction is generally favourable to repossession and enforcement of contracts, even if repossession might be long and/or difficult. | The legal and regulatory environment is poor and/or unstable. The jurisdiction may make repossession and enforcement of contracts lengthy or impossible. |
Transaction characteristics | ||||
Financing term compared to the economic life of the asset | Full payout profile/minimum balloon. No grace period. | Balloon more significant, but still at satisfactory levels. | Important balloon with potential grace periods. | Repayment in fine or high balloon. |
Operating risk | ||||
Permits/licensing | All permits have been obtained; the asset meets current and foreseeable safety regulations. | All permits have been obtained or are in the process of being obtained; the asset meets current and foreseeable safety regulations. | Most permits have been obtained or are in the process of being obtained; outstanding ones are considered routine; the asset meets current safety regulations. | There are problems in obtaining all required permits; part of the planned configuration and/or planned operations might need to be revised. |
Scope and nature of O&M contracts | There is a strong long-term O&M contract, preferably with contractual performance incentives and/or O&M reserve accounts (if needed). | There is a long-term O&M contract and/or O&M reserve accounts (if needed). | There is a limited O&M contract or O&M reserve account (if needed). | There is no O&M contract and a risk of high operational cost overruns beyond mitigants. |
Operator’s financial strength, track record in managing the asset type and capability to re-market asset when it comes off-lease | Excellent track record and strong re-marketing capability. | Satisfactory track record and re-marketing capability. | Weak or short track record and uncertain re-marketing capability. | No or unknown track record and inability to re‑market the asset. |
Asset characteristics | ||||
Configuration, size, design and maintenance (e.g. age, size for a plane) compared to other assets on the same market | There is a strong advantage in design and maintenance. Configuration is standard such that the object meets a liquid market. | The design and maintenance is above average. Standard configuration, possibly with very limited exceptions, such that the object meets a liquid market. | The design and maintenance is average. Configuration is somewhat specific and thus might cause a narrower market for the object. | The design and maintenance is below average. The asset is near the end of its economic life. Configuration is very specific. The market for the object is very narrow. |
Resale value | The current resale value is well above debt value. | The resale value is moderately above debt value. | The resale value is slightly above debt value. | The resale value is below debt value. |
Sensitivity of the asset value and liquidity to economic cycles | The asset value and liquidity are relatively insensitive to economic cycles. | The asset value and liquidity are sensitive to economic cycles. | The asset value and liquidity are quite sensitive to economic cycles. | The asset value and liquidity are highly sensitive to economic cycles. |
Strength of sponsor | ||||
Operator’s financial strength, track record in managing the asset type and capability to re-market asset when it comes off-lease | Excellent track record and strong re-marketing capability. | Satisfactory track record and re-marketing capability. | Weak or short track record and uncertain re-marketing capability. | No or unknown track record and inability to re-market the asset. |
Sponsor’s track record and financial strength | The sponsors have an excellent track record and high financial standing. | The sponsors have a good track record and good financial standing. | The sponsors have an adequate track record and good financial standing. | The sponsors have a questionable/no track record and/or financial weaknesses. |
Security package | ||||
Asset control | Legal documentation provides the lender effective control (e.g. a first perfected security interest or a leasing structure including such security) on the asset or on the company owning it. | Legal documentation provides the lender effective control (e.g. a perfected security interest or a leasing structure including such security) on the asset or on the company owning it. | Legal documentation provides the lender effective control (e.g. a perfected security interest or a leasing structure including such security) on the asset, or on the company owning it. | The contract provides little security to the lender and leaves room to some risk of losing control on the asset. |
Rights and means at the lender's disposal to monitor the location and condition of the asset | The lender is able to monitor the location and condition of the asset at any time and place (regular reports, possibility to lead inspections). | The lender is able to monitor the location and condition of the asset almost at any time and place. | The lender is able to monitor the location and condition of the asset almost at any time and place. | The lender has a limited ability to monitor the location and condition of the asset. |
Insurance against damages | There is strong insurance coverage including collateral damages with top quality insurance companies. | The insurance coverage is satisfactory (not including collateral damages) with good quality insurance companies. | The insurance coverage is fair (not including collateral damages) with acceptable quality insurance companies. | The insurance coverage is weak (not including collateral damages) or with weak quality insurance companies. |
Table 12 Slotting criteria for commodities finance exposures
| Strong | Good | Satisfactory | Weak |
Financial Strength | ||||
Degree of over-collateralisation of trade | Strong. | Good. | Satisfactory. | Weak. |
Political and legal environment | ||||
Country risk | No country risk.
| There is limited exposure to country risk (including offshore location of reserves in an emerging country). | There is some exposure to country risk (including offshore location of reserves in an emerging country). | There is strong exposure to country risk (including inland reserves in an emerging country). |
Mitigation of country risks | Very strong mitigation. Strong offshore mechanisms. Strategic commodity. Excellent buyer. | Strong mitigation. Offshore mechanisms. Strategic commodity. Strong buyer. | Acceptable mitigation. Offshore mechanisms. Less strategic commodity. Acceptable buyer. | Only partial mitigation. No offshore mechanisms. Non-strategic commodity. Weak buyer. |
Asset characteristics | ||||
Liquidity and susceptibility to damage | The commodity is quoted and can be hedged through futures or OTC instruments. The commodity is not susceptible to damage. | The commodity is quoted and can be hedged through OTC instruments. The commodity is not susceptible to damage. | The commodity is not quoted but is liquid. There is uncertainty about the possibility of hedging. The commodity is not susceptible to damage. | The commodity is not quoted. Liquidity is limited given the size and depth of the market. There are no appropriate hedging instruments. The commodity is susceptible to damage. |
Strength of sponsor | ||||
Financial strength of trader | Very strong, relative to trading philosophy and risks. | Strong relative to trading philosophy and risks. | Adequate relative to trading philosophy and risks. | Weak relative to trading philosophy and risks. |
Track record, including ability to manage the logistic process | Extensive experience with the type of transaction in question. Strong record of operating success and cost efficiency. | Sufficient experience with the type of transaction in question. Above average record of operating success and cost efficiency. | Limited experience with the type of transaction in question. Average record of operating success and cost efficiency. | Limited or uncertain track record in general. Volatile costs and profits. |
Trading controls and hedging policies | Strong standards for counterparty selection, hedging and monitoring. | Adequate standards for counterparty selection, hedging and monitoring. | Adequate standards for counterparty selection, hedging and monitoring. Past deals have experienced no or minor problems. | Weak standards for counterparty selection, hedging and monitoring. Trader has experienced significant losses on past deals. |
Quality of financial disclosure | Excellent. | Good. | Satisfactory. | Financial disclosure contains some uncertainties or is insufficient. |
Security package | ||||
Asset control | First perfected security interest provides the lender legal control of the assets at any time if needed. | First perfected security interest provides the lender legal control of the assets at any time if needed. | At some point in the process, there is a rupture in the control of the assets by the lender. The rupture is mitigated by knowledge of the trade process or a third party undertaking as the case may be. | Contract leaves room for some risk of losing control over the assets. Recovery could be jeopardised. |
Insurance against damages | Insurance coverage is strong, including collateral damages with top quality insurance companies. | Insurance coverage is satisfactory (not including collateral damages) with good quality insurance companies. | Insurance coverage is fair (not including collateral damages) with acceptable quality insurance companies. | Insurance coverage is weak (not including collateral damages) or with weak quality insurance companies. |
[1] Refer to subsection 11AF(2) of the Banking Act.
[2] For this purpose, a non-standard retail residential mortgage exposure refers to an exposure in the retail residential mortgage sub-asset class (as defined in this Prudential Standard) that is classified as a non-standard loan according to APS 112.
[4] Improvements to an ADI’s rating systems or risk components will not render it non-compliant with this three-year requirement.
[5] This excludes the owner-occupied exposure of the borrower.
[6] Residual value risk means the risk that an ADI is exposed to potential loss due to the fair value of a leased asset declining below its residual estimate at the inception of the lease.
[7] Refer to paragraph 102 of Attachment D to this Prudential Standard.
[8] Refer to paragraph 30 of Attachment B to this Prudential Standard.
[9] Refer to paragraph 75 of this Attachment.
[10] Specific wrong-way risk means the risk that arises when the exposure to a particular counterparty is positively correlated with the probability of default of the counterparty due to the nature of the transactions with the counterparty.
[11] For this purpose, the reference definition of default refers to ‘non-performing’ as set out in APS 220.
[12] An ADI is not required to produce its own estimates of PD for specialised lending exposures subject to the supervisory slotting approach.
[13] Contra-accounts involve a customer buying from and selling to the same firm.
[14] Claims on tranches of the proceeds (e.g. first or second loss positions) are subject to the capital requirements set out in APS 120.
[15] The firm-size adjustment, as set out in paragraph 6 of Attachment A to this Prudential Standard, is the weighted average firm-size for individual exposures in the pool of purchased corporate receivables. If an ADI does not have the information to calculate the average firm-size of the pool, the firm-size adjustment does not apply.