Local Government (Financial Assistance) (Final Factor for 201819 and Estimated Factor for 201920) Determination 2019

I, Michael Sukkar, Assistant Treasurer, make the following determination.

Dated  25 June 2019

 

Michael Sukkar

Assistant Treasurer

 

 

 

 

Contents

Part 1—Preliminary

1  Name 

2  Commencement

3  Authority

4  Definitions

Part 2—Final factor for the year 201819

5  Determination of final factor for 201819

6  How the final factor was worked out

Part 3—Estimated factor for the year 201920

7  Determination of estimated factor for 201920

8  How the estimated factor has been worked out

Part 1Preliminary

 

1  Name

  This instrument is the Local Government (Financial Assistance) (Final Factor for 201819 and Estimated Factor for 201920) Determination 2019.

2  Commencement

 (1) Each provision of this instrument specified in column 1 of the table commences, or is taken to have commenced, in accordance with column 2 of the table. Any other statement in column 2 has effect according to its terms.

 

Commencement information

Column 1

Column 2

Column 3

Provisions

Commencement

Date/Details

1.  The whole of this instrument

The day after this instrument is registered.

 

Note: This table relates only to the provisions of this instrument as originally made. It will not be amended to deal with any later amendments of this instrument.

 (2) Any information in column 3 of the table is not part of this instrument. Information may be inserted in this column, or information in it may be edited, in any published version of this instrument.

3  Authority

  This instrument is made under the Local Government (Financial Assistance) Act 1995.

4  Definitions

Note: Paragraph 13(1)(b) of the Legislation Act 2003 has the effect that expressions have the same meaning in this instrument as in the Local Government (Financial Assistance) Act 1995 as in force from time to time.

  In this instrument:

the Act means the Local Government (Financial Assistance) Act 1995.

Part 2Final factor for the year 201819

 

5  Determination of final factor for 201819

  For the purposes of subsection 8(1) of the Act, the factor in relation to the 201819 year is 1.0300.

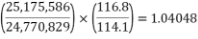
6  How the final factor was worked out

 (1) Under subsection 8(1) of the Act, the factor in relation to the 201819 year is to be worked out by applying the formula set out in paragraph 8(1)(a) of the Act and then adjusting the result under whichever of paragraphs 8(1)(b) and (c) of the Act are applicable.

Paragraph 8(1)(a) formula

 (2) The factor calculated under paragraph 8(1)(a) of the Act is as follows:

 

Note 1: Under section 4A, the Statistician made the estimate of the population of Australia as at 31 December 2017 on 20 June 2019 (ABS Catalogue Number 3101.0).

Note 2: Under section 4A, the Statistician made the estimate of the population of Australia as at 31 December 2016 on 21 June 2018 (ABS Catalogue Number 3101.0).

Note 3: The formula uses the All Groups Consumer Price Index number, being the weighted average of the 8 capital cities, published on 24 April 2019 by the Statistician in respect of the 2019 March quarter (ABS Catalogue Number 6401.0).

Note 4: The formula uses the All Groups Consumer Price Index number, being the weighted average of the 8 capital cities, published on 24 April 2019 by the Statistician in respect of the 2018 March quarter (ABS Catalogue Number 6401.0).

Paragraph 8(1)(b) modification

 (3) The result of subsection (2) was modified by increasing the factor by 0.0001 under paragraph 8(1)(b) of the Act as the fifth decimal place was greater than 4.

Paragraph 8(1)(c) modification

 (4) The result of subsection (3) was modified under paragraph 8(1)(c) of the Act as a result of special circumstances, being the need to account for the Commonwealth’s decision to bring forward the first 2 quarterly payments in the 2018-19 year into the 2017-18 year and the first 2 quarterly payments in the 2019-20 year into the 2018-19 year.  The modification was worked out by multiplying the result of subsection (3) by the following formula:

 

Where:

2017-18 amount means the first 2 quarterly payments that were brought forward from the year 2018-19 to be paid in the year 2017-18 and is $1,228,343,283.

2018-19 amount means the amount that would have been the base figure for the year 2018-19 if the Commonwealth had not decided to bring forward any quarterly payments and is $2,437,978,592.

2019-20 amount means the first 2 quarterly payments that were brought forward from the year 2019-20 to be paid in the year 2018-19 and is $1,274,978,776.

2017-18 final entitlement means the base figure for the year 2017-18 and is $2,412,309,520.

sub (3) factor means the result of subsection (3).

Part 3Estimated factor for the year 201920

 

7  Determination of estimated factor for 201920

  For the purposes of paragraph 7(3)(b) of the Act, the estimated factor in relation to the 201920 year is 0.5078.

8  How the estimated factor has been worked out

 (1) Under subsection 8(1) of the Act, the factor in relation to the 201920 year is to be worked out by applying the formula set out in paragraph 8(1)(a) of the Act and then adjusting the result under whichever of paragraphs 8(1)(b) and (c) of the Act are applicable.

Paragraph 8(1)(a) formula

 (2) The factor calculated under paragraph 8(1)(a) of the Act is as follows:

 

Note 1: Under section 4A, the Statistician made the estimate of the population of Australia as at 31 December 2018 on 20 June 2019 (ABS Catalogue Number 3101.0).

Note 2: Under section 4A, the Statistician made the estimate of the population of Australia as at 31 December 2017 on 20 June 2019 (ABS Catalogue Number 3101.0).

Note 3: The formula uses the 2019-20 Budget forecast of the All Groups Consumer Price Index number, being the weighted average of the 8 capital cities, in respect of the 2020 March quarter (see www.budget.gov.au).

Note 4: The formula uses the All Groups Consumer Price Index number, being the weighted average of the 8 capital cities, published on 24 April 2019 by the Statistician in respect of the 2019 March quarter (ABS Catalogue Number 6401.0).

Paragraph 8(1)(b) modification

 (3) The result of subsection (2) was modified by increasing the factor by 0.0001 under paragraph 8(1)(b) of the Act as the fifth decimal place was greater than 4.

Paragraph 8(1)(c) modification

 (4) The result of subsection (3) was modified under paragraph 8(1)(c) of the Act as a result of special circumstances, being the need to account for the Commonwealth’s decision to bring forward the first 2 quarterly payments in the 2019-20 year into the 2018-19 year.  The modification was worked out by multiplying the result of subsection (3) by the following formula:

 

Where:

2018-19 amount means the first 2 quarterly payments that were brought forward from the year 2019-20 to be paid in the year 2018-19 and is $1,274,978,776.

2019-20 amount means the amount that would have been the base figure for the year 2019-20 if the Commonwealth had not decided to bring forward any quarterly payments and is $2,536,716,725.

2018-19 final entitlement means the base figure for the year 2018-19 and is $2,484,678,806.

sub (3) factor means the result of subsection (3).