Carbon Credits (Carbon Farming Initiative—Plantation Forestry) Methodology Determination 2017

 

I, Josh Frydenberg, Minister for the Environment and Energy, make the following determination.

Dated 10 August 2017

 

Josh Frydenberg

Minister for the Environment and Energy


 

 

Contents

Part 1 —Preliminary

1  Name

2  Commencement

3  Authority

4  Duration

5  Definitions

6  Factors and parameters from external sources

Part 2 —Plantation forest projects

7  Plantation forest projects

Part 3 —Project requirements

Division 1 —General

8  Operation of this Part

Division 2 —Information required in application

9  Information required in application

Division 3 —Eligibility requirements—plantation type and type of management scheme

10  Plantation types and regions that are excluded

11  Forestry managed investment schemes that are excluded

Division 4 —Eligibility requirements—project activities and types of eligible land

12  Project must include project activity on eligible land

13  Eligibility—new plantation

14  Eligibility—conversion from short to long rotation

15  Meaning of preexisting project and former determination

16  Eligibility—maintenance of plantation in a pre-existing project

Division 5 —Stratification

17  CEAs must be defined

18  Requirements for CEAs

19  Boundaries and mapping

20  No re-stratification unless permitted by this Division

21  Re-stratification following disturbance event

22  Re-stratification due to change in management regime

23  Restratification to remove area that is no longer suitable for plantation

Division 6 —Management regimes

24  Management actions and when they occur

25  Disturbance events and when they occur

26  Requirement for a management schedule

27  Updating a management schedule

28  The current management regime and the default management regime

29  Management schedule for a re-stratified CEA

30  The default baseline management regime (conversion CEA)

31  Assessing a proposed change to a management regime

Division 7 —Newness and additionality

32  Newness requirement

Part 4 —Net abatement amount

Division 1 —Preliminary

33  Operation of this Part

34  Overview of gases accounted for in abatement calculations

Division 2 —FullCAM Modelling

Subdivision 1 —General

35  Modelling scenarios in FullCAM

36  Meaning of relevant management actions, disturbance events and natural disturbances

Subdivision 2 —Project scenario

37  Modelling project scenario

Subdivision 3 —Long-term project scenario

38  Modelling long-term project scenario

Subdivision 4 —Baseline scenario

39  Modelling baseline scenario

Division 3 —Calculations

Subdivision 1 —Preliminary

40  Operation of Division

Subdivision 2 —Baseline net carbon stock—conversion CEAs

41  Baseline carbon stock and baseline emissions in a conversion CEA

42  Baseline net carbon stock for whole project

Subdivision 3 —Long-term average net carbon stock

43  Predicted long-term average carbon stock and project emissions in a CEA

44  Predicted long-term average net carbon stock for whole project

Subdivision 4 —Net carbon stock change in a reporting period

45  Calculating net carbon stock in CEA the end of reporting period

46  Net carbon stock at the end of reporting period for whole project

47  Deemed net carbon stock for project at end of reporting period

48  Net carbon stock change for project in first reporting period under this determination

49  Net carbon stock change for project in later reporting periods

Subdivision 5 —Calculation of the net abatement amount

50  Net abatement amount—general rule

51  Net abatement amount—where previous net abatement amount negative

Part 5 —Reporting, recordkeeping and monitoring requirements

Division 1 —Reporting requirements

52  Operation of this Division

53  Information required in offsets reports

Division 2 —Recordkeeping requirements

54  Operation of this Division

55  Records relating to salvage harvesting

56  Records relating to monitoring of management actions, natural disturbances and forest development condition

Division 3 —Monitoring requirements

57  Operation of this Division

58  Monitoring management actions

59  Monitoring natural disturbances

60  Monitoring forest development

Part 6 —Dividing a plantation forest project

61  No division of carbon estimation area

Schedule 1 —Short-rotation plantation forests

Part 1 —Plantations that can be presumed to have a short rotation

Part 2 —Plantations for which additional evidence is required

Schedule 2 —Specified longrotation plantation forests

Schedule 3 —Excluded national plantation inventory regions for certain plantation types

Part 1Preliminary 

1  Name

  This is the Carbon Credits (Carbon Farming Initiative—Plantation Forestry) Methodology Determination 2017.             

2  Commencement

  This determination commences on the day after it is registered.

3  Authority

  This determination is made under subsection 106(1) of the Carbon Credits (Carbon Farming Initiative) Act 2011.

4  Duration

  This determination remains in force for the period that:

 (a) begins when this instrument commences; and

 (b) ends on the day before this instrument would otherwise be repealed under subsection 50(1) of the Legislation Act 2003.

5  Definitions

  In this determination:

Act means the Carbon Credits (Carbon Farming Initiative) Act 2011.

baseline rotation period, in relation to eligible land for the conversion project activity—see subsection 14(5).

baseline scenario simulation—see section 39.

C means carbon.

CEA (for carbon estimation area)—see section 17.

conversion CEA means a CEA whose project activity under paragraph 18(1)(b) is the conversion project activity.

conversion project activity—see subsection 14(1).

CFI mapping guidelines means the guidelines of that name, as published on the Department’s website, to be used for mapping project areas and CEAs, as in force from time to time.

Note: In 2017, the CFI mapping guidelines could be viewed on the Department’s website (http://www.environment.gov.au).

clearfell means the cutting down of all trees in a carbon estimation area or other area.

CO2-e means carbon dioxide equivalent.

controlled burn has a meaning affected by subsection 24(4).

coppice means the epicormic shoots growing from stumps of trees that have been harvested.

coppicing means allowing a plantation to regenerate after clearfelling to end a rotation by relying on coppice.

current management regime—see section 28.

default baseline management regime—see section 30.

default management regime—see section 28.

disturbance event—see section 25.

eligibility date means:

 (a) for eligible land for the new plantation project activitythe eligibility date given by section 13; and

 (b) for eligible land for the conversion project activitythe eligibility date given by section 14; and

 (c) for eligible land for the maintenance project activitythe eligibility date given by section 16.

eligible land means:

 (a) eligible land for the new plantation project activity—see section 13; or

 (b) eligible land for the conversion project activity—see section 14; or

 (c) eligible land for the maintenance project activity—see section 16.

forest cover: a CEA has forest cover if the vegetation on the land includes trees that:

 (a) are 2 metres or more in height; and

 (b) provide crown cover of at least 20% of the land.

forest development condition—see subsection 25(2).

former determination, for a preexisting project—see section 15.

FullCAM means the Full Carbon Accounting Model as in force from time to time.

Note: In 2017, FullCAM could be viewed on the Department’s website (http://www.environment.gov.au).

FullCAM guidelines means the guidelines for the use of FullCAM for the purposes of this determination that are available on the Department’s website, as in force from time to time.

Note: The FullCAM guidelines could in 2017 be viewed on the Department’s website (http://www.environment.gov.au).

ith CEA, for Division 3 of Part 4—see section 40.

long-term project scenario simulation—see section 38.

maintenance CEA means a CEA whose project activity under paragraph 18(1)(b) is the maintenance project activity.

maintenance project activity—see subsection 16(1).

management action—see section 24.

management record—see section 26.

management regime, for a rotation, means the management regime that is specified by the following:

 (a) a choice of species to be used for the rotation;

 (b) the rotation period;

 (c) the management actions of:

 (i) planting, seeding or coppicing to start the rotation; and

 (ii) clearfelling to end the rotation;

 (d) any other management actions or disturbance events that occur during the rotation, with their times of occurrence.

management schedule—see section 26.

model point location means the location of a model point, identified by latitude and longitude, for use in FullCAM.

modelling period for a CEA is the 100 year period beginning on the day before the plantation start date.

National Plantation Inventory means the inventory of plantations established primarily for timber production in Australia that is managed by the Department of Agriculture and Water Resources, as in force on the day this determination commences.

Note: In 2017, the National Plantation Inventory could be viewed at http://www.agriculture.gov.au.

national plantation inventory region means a region defined in the National Plantation Inventory.

net abatement amount, for a plantation forest project, means the carbon dioxide equivalent net abatement amount for the project in the reporting period for the purposes of paragraph 106(1)(c) of the Act (see also section 33).

new plantation CEA means a CEA whose project activity under paragraph 18(1)(b) is the new plantation project activity.

new plantation project activity—see subsection 13(1).

NGER Regulations means the National Greenhouse and Energy Reporting Regulations 2008.

plantation forest means a plantation for the harvest of forest products:

 (a) that is established by planting or seeding; and

 (b) that is harvested by periodic clearfelling of the whole; and

 (c) that can be expected, in the absence of a natural disturbance, to reach forest cover before clearfelling; and

 (d) in which any management actions involving replanting, re-seeding or coppicing occur only after such a harvest; and

 (e) that is managed in a way consistent with an intention to continue to comply with paragraphs (b), (c) and (d).

Note: A horticultural plantation is not a plantation forest.

plantation forest project—see section 7.

plantation start date means:

 (a) for a new plantation CEA—the starting date for the first rotation; and

 (b) for a conversion CEA on which a rotation was in progress on the eligibility date—the starting date for that rotation; and

 (c) for a conversion CEA on which no rotation was in progress on the eligibility date—the starting date for the first rotation after the eligibility date; and

 (d) for a maintenance CEA—the starting date for the first rotation under the former determination.

preexisting project—see section 15.

product recovery means the removal from the project area of any product derived from the plantation.

project activity means:

 (a) the new plantation project activity—see section 13; or

 (b) the conversion project activity—see section 14; or

 (c) the maintenance project activity—see section 16.

project scenario simulation—see section 37.

relevant, for Division 2 of Part 4—see section 36.

rotation¸ of a plantation forest, means a phase that lasts from the planting, seeding or coppicing for the rotation to the subsequent clearfelling.

rotation period means the length of time of a rotation.

section 22 application means the relevant application under section 22 of the Act for the declaration of a plantation forest project as an eligible offsets project.

starting date, for a rotation—see subsection 24(6).

Note: Other words and expressions used in this determination have the meaning given by the Act. These terms include:

  applicable methodology determination

  Australian carbon credit unit

  crediting period  

  eligible offsets project

  emission

  greenhouse gas

  natural disturbance

  offsets project

  offsets report

  project

  project area

  project proponent

  Regulator

  reporting period 

6  Factors and parameters from external sources

 (1) If a calculation in this determination includes a factor or parameter that is defined or calculated by reference to another instrument or writing, the factor or parameter to be used for a reporting period is the factor or parameter referred to in, or calculated by reference to, the instrument or writing as in force at the end of the reporting period.

 (2) Subsection (1) does not apply if:

 (a) this determination specifies otherwise; or

 (b) it is not possible to define or calculate the factor or parameter by reference to the instrument or writing as in force at the end of the reporting period.

Part 2Plantation forest projects

7  Plantation forest projects

 (1) For paragraph 106(1)(a) of the Act, this determination applies to an offsets project if the project:

 (a) involves:

 (i) the establishment of one or more new plantation forests; or

 (ii) the conversion of one or more short-rotation plantation forests to longrotation plantation forests;

  each of which can reasonably be expected to result in eligible carbon abatement; or

 (b) is a preexisting project that:

 (i) involved the establishment of one or more new plantation forests; and

 (ii) is an eligible offsets project under another applicable methodology determination.

 (2) A project covered by subsection (1) is a plantation forest project.

Part 3—Project requirements

Division 1—General

8  Operation of this Part

  For paragraph 106(1)(b) of the Act, this Part sets out requirements that must be met for a plantation forest project to be an eligible offsets project.

Division 2—Information required in application

9  Information required in application

 (1) This section applies to the following applications:

 (a) for a project other than a pre-existing project—the section 22 application;

 (b) for a pre-existing project—the request under section 128 of the Act;

 (c) an application for a variation under section 29 of the Act that adds eligible land to the project area.

 (2) The application must:

 (a) specify one or more areas of eligible land covered by the application on which the project proponent proposes to establish CEAs; and

 (b) for each area:

 (i) specify the project activity that will be conducted on it; and

 (ii) provide evidence that the land is eligible land for the project activity.

Note: CEAs can be established only on land that is specified in one of these applications.

 (3) The evidence must include time-stamped and geo-referenced remotely sensed imagery covering the period of 7 years before the eligibility date for the land.

 (4) For eligible land for the conversion project activity, the evidence must include management records of any rotation underway on the eligibility date, and any previous rotation relied on under subparagraph 14(2)(b)(iii) or paragraph 14(2)(c).

Note: Under those provisions, certain previous rotations are relied on in some cases to establish that land is eligible land.

Division 3—Eligibility requirements—plantation type and type of management scheme

10  Plantation types and regions that are excluded

  A project must be one in which a plantation forest of a type listed in Schedule 3 is not established, converted or maintained in a national plantation inventory region excluded for that type.

11  Forestry managed investment schemes that are excluded

 (1) A project must be one in which no plantation forest is managed under a scheme:

 (a) that is a forestry managed investment scheme; and

 (b) that is designed in a way that expects, or relies on the possibility of, payments being made by participants under the scheme that would be deductible under section 394-10 of the ITAA.

 (2) In this section:

ITAA means the Income Tax Assessment Act 1997.

scheme, forestry managed investment scheme, and participant have the same meanings as in Division 394 of the ITAA.

 

Division 4—Eligibility requirements—project activities and types of eligible land

Note: There are three project activities, each with different eligibility requirements for the land on which they are conducted.  They are, in summary:

(a) creating a new plantation on land which has not previously had a plantation on it (including on land that was part of a pre-existing project before it came under this determination);

(b) converting an existing short-rotation plantation into a long-rotation plantation (on land that was not part of a pre-existing project);

(c) maintaining an existing plantation that was started as part of a pre-existing project before it came under this determination.

12  Project must include project activity on eligible land

  A project must be one in which one or more project activities set out in this Division are conducted on the appropriate kind of eligible land.

13  Eligibility—new plantation

 (1) The following constitutes the new plantation project activity for this determination:

 (a) planting or seeding to establish and maintain the land as a new plantation forest;

 (b) ensuring that no rotation is longer than 60 years duration;

 (c) as far as reasonably practicable, ensuring that the periods between rotations are not more than 24 months.

 (2) For this determination, land in the project area is eligible land appropriate for the new plantation project activity if, on the eligibility date:

 (a) there had been no plantation forest on the land in the previous 7 years; and

 (b) the land was within a national plantation inventory region.

 (3) For this section, the eligibility date for land in the project area is:

 (a) for land that is part of the project area at the time this determination first applies to the project—the date of the relevant application under section 22 or request under section 128 of the Act; and

 (b) for land that becomes part of the project area at a later date—the date of the relevant application for a variation under section 29 of the Act.

14  Eligibility—conversion from short to long rotation

 (1) The following constitutes the conversion project activity for this determination:

 (a) doing one of the following:

 (i) where no rotation was in progress on the eligibility date—making the first rotation after the eligibility date a long rotation;

 (ii) where a short rotation was underway on the eligibility date:

 (A) completing that rotation, and making the following rotation a long rotation; or

 (B) making that rotation instead into a long rotation;

 (b) thereafter using management actions to ensure that every subsequent rotation is a long rotation;

 (c) as far as reasonably practicable, ensuring that the periods between rotations are not more than 24 months.

 (2) For this determination, an area of land in the project area is eligible land appropriate for the conversion project activity if, on the eligibility date, the following applied:

 (a) the land was not part of the project area of an eligible offsets project;

 (b) if a rotation of a plantation forest was underway on the land:

 (i) the rotation was a short rotation; and

 (ii) the plantation forest had not been thinned or pruned during the rotation; and

 (iii) if the species was a species listed in Part 2 of Schedule 1—there had been at least one previous rotation of the plantation forest that was a short rotation using the same species;

 (c) if no rotation of a plantation forest was underway on the land:

 (i) in the 7 years prior to the eligibility date, a rotation of a plantation forest had been completed on the land; and

 (ii) that rotation was a short rotation;

 (d) during the 7 years prior to the eligibility date, the land had not been used other than as a plantation forest with a short rotation or as land with no plantation forest;

 (e) the land was within a national plantation inventory region.

 (3) For this section, the eligibility date for land in the project area is:

 (a) for land that is part of the project area at the time this determination first applies to the project—the date of the relevant application under section 22 or request under section 128 of the Act; and

 (b) for land that becomes part of the project area at a later date—the date of the relevant application for a variation under section 29 of the Act.

 (4) In this section:

inner tree, on an area of land in a rotation of a plantation forest, means a tree that is not at the edge of the area that was planted, seeded or coppiced for that rotation.

long rotation: a rotation in a plantation forest on a particular area of land is a long rotation if:

 (a) the plantation forest is thinned or pruned after the starting date for the rotation; and

 (b) the rotation period is at least 10 years longer than the baseline rotation period for the area of land.

Note: Subsection 26(4) imposes a maximum rotation period.

pruned: an area of land in a rotation of a plantation forest is pruned if:

 (a) all branches from the tree stem up to a minimum height of 2 metres are removed from a number of inner trees across the area; and

 (b) that number is more than 15% of the number of inner trees that existed in the area after the planting, seeding or coppicing that commenced the rotation.

Note 1: Branches may be removed from the trees growing around the edge of the area that was planted, seeded or coppiced for the rotation without the area being pruned within this meaning.

Note 2: This is a restrictive definition for the purposes of eligibility for conversion only.  The management action ‘pruning’ includes a wider range of actions — see paragraph 24(1)(f) and subsection 24(3).

short rotation: a rotation in a plantation forest on a particular area of land is a short rotation at a particular date if:

 (a) the rotation used a species listed in Schedule 1; and

 (b) neither of the following exceeds the maximum clearfell age for the species given in Schedule 1:

 (i) for a rotation that is underway at that date—the age of the rotation at that date;

 (ii) for a rotation that has been completed before that date—length of the rotation.

thinned:

 (a) an area of land in a rotation of a plantation forest that was started by planting or seeding is thinned if:

 (i) a number of trees (whether or not inner trees) have been felled or removed from across the area since the completion of the planting or seeding; and

 (ii)  that number is more than 15% of the number of trees in the area at the time of that completion; and

 (b) an area of land in a rotation of a plantation forest that was started by coppicing is thinned if:

 (i) for a number of coppiced trees across the area (whether or not inner trees), either:

 (A) all stems were removed at a time less than 4 years after the start of the rotation; or

 (B) stems have been removed at a time 4 years or more after the start of the rotation; and

 (ii) that number is more than 15% of the original number of  coppiced trees in the area.

Note: This is a restrictive definition for the purposes of eligibility for conversion only.  The management action ‘thinning’ has the meaning given in the FullCAM guidelines—see subsection 24(3).

 (5) For this determination, the baseline rotation period, in relation to an area of land that is eligible land for the conversion project activity, is:

 (a) if paragraph (2)(b) applies (rotation underway)—the longer of:

 (i) the age of the rotation on the eligibility date; and

 (ii) the clearfell age default listed for the species and region in Schedule 1; and

 (b) if paragraph (2)(c) applies (no rotation underway)—the longer of:

 (i) the rotation period of the last rotation that was completed before the eligibility date; and

 (ii) the clearfell age default listed for the species and region in Schedule 1.

15  Meaning of preexisting project and former determination

  For this determination:

 (a) a plantation forest project is a preexisting project if this determination applies to it because of an approval under section 130 of the Act; and

Note: This will have required a request under section 128 of the Act.

 (b) the determination that applied to the project immediately before the application of this determination is the former determination for the project.

16  Eligibility—maintenance of plantation in a pre-existing project

 (1) The following constitutes the maintenance project activity for this determination:

 (a) using management actions to maintain the land as a plantation forest;

 (b) as far as reasonably practicable, ensuring that the periods between rotations are not more than 24 months.

 (2) For this determination, land is eligible land for the maintenance project activity if:

 (a) the project is a pre-existing project; and

 (b) the land was part of the project area under the former determination; and

 (c) on the date of the request under section 128 of the Act:

 (i) the land was a plantation forest; and

 (ii) the land was within a national plantation inventory region; and

 (iii) the land was part of a CEA under the former determination; and

 (d) the reporting requirement in subsection (4) is satisfied in relation to that CEA; and

 (e) on the eligibility date, there had been no plantation forest on the land in the previous 7 years.

 (3) For this section, the eligibility date for land in the project area is the date of the relevant application or request that resulted in the land becoming part of the project area to which a determination under the Act applied.

Note: The determination will be either the former determination, or a determination that applied to the project before the former determination.

Offsets report under former determination required

 (4) The reporting requirement for a preexisting project is satisfied if:

 (a) the project proponent submitted at least one offsets report under the former determination; and

 (b) the Regulator is satisfied that the reported value for the carbon stock for each CEA (however described) in the latest offsets report (the relevant offsets report) appropriately reflects the existing carbon stock for the CEA.

 (5) The Regulator is taken to be satisfied for paragraph (4)(b):

 (a) for closing carbon stock reported as greater than zero—if the Regulator issued Australian carbon credit units on the basis of the relevant offsets report; and

 (b) for closing carbon stock reported as zero—if the Regulator is satisfied that the value of zero was the result of appropriate measurement or modelling (rather than, for example, the application of a default permitted by the former determination).

Note: The effect of this section is that a plantation forest may be transferred from a preexisting project and maintained under this determination, with its eligibility depending on land use history as at the eligibility date referred to in subsection (3). Other parts of the preexisting project land may be assessed for eligibility for a new plantation as at the time of the request under section 128 of the Act for this determination to apply to the project (see section 9).

Division 5—Stratification

17  CEAs must be defined

 (1) The project proponent must define one or more areas in the project area, in accordance with this Division, as areas for which abatement will be calculated under this determination.

 (2) Such an area is a CEA.

Note: A CEA will be a new plantation CEA, a conversion CEA, or a maintenance CEA depending on the project activity conducted on it—see paragraph 18(1)(b).

 (3) A new plantation CEA must be defined for the offsets report relating to the reporting period in which the planting or seeding for the first rotation occurs.

Note: See subsection 24(7) for when planting or seeding occurs.

 (4) A conversion CEA must be defined for the offsets report relating to the first reporting period in which either of the following occurs:

 (a) planting or seeding for a new rotation using a species listed in Schedule 2 for the national plantation inventory region of the land;

 (b) a thinning or pruning (within the meaning of subsection 14(4)) of the plantation that occurs at least 4 years after the starting date for the rotation.

 (5) A maintenance CEA must be defined for the first offsets report.

 (6) Subsections (3) to (5) do not apply in relation to a CEA created by re-stratification of an existing CEA.

18  Requirements for CEAs

 (1) A CEA must consist only of land:

 (a) that was specified as eligible land on which a CEA was proposed to be established in accordance with subsection 9(2); and

 (b) that is subject to a single project activity.

Note: A CEA is a new plantation CEA, a conversion CEA, or a maintenance CEA depending on the project activity conducted on it.

 (2) A CEA must have an area of more than 0.2 hectares.

 (3) The whole of a CEA must consist of a plantation forest that has a single plantation start date, and has been under the same management regime at all times, with the same starting date for each rotation, since that date.

 (4) A CEA may consist of:

 (a) a single area of land; or

 (b) areas of land that are not separated by more than 250 metres.

 (5) A CEA must contain a model point at the approximate centre of the CEA.

 (6) The model point location must be within the boundaries of the CEA.

 (7) The model point location must be representative of the CEA.

19  Boundaries and mapping

  The geographic boundaries of each CEA must be defined in accordance with the CFI Mapping Guidelines.

20  No re-stratification unless permitted by this Division

  A CEA must not be changed except in accordance with this Division.

21  Re-stratification following disturbance event

 (1) This section applies if:

 (a) a disturbance event has affected part or the whole of a CEA; and

 (b) as a consequence, the project proponent proposes to take different management actions in different parts of the CEA.

Example: A fire affects a portion of the area of land covered by a CEA, and the project proponent proposes to undertake the management action salvage harvesting in the portion of the CEA that was affected by the fire. As the management action would be taken in part only of the CEA, this section applies. In compliance with this section, the proponent might choose to restratify the original CEA into 2 CEAs; salvage harvesting would be undertaken across one of those restratified CEAs, but not in the other.
Note that a re-stratification under this section must keep all the land in the CEA in one of the new CEAs.  An area of land can be removed from being part of any CEA only under section 23.

 (2) The project proponent must restratify the CEA so that each new CEA meets the requirements of section 18.

Note: Because of subsection 18(3), each such CEA must be one that has been, and is expected to continue to be, subject to a single management regime. If an area with a single management regime has an area less than 0.2 hectares, it cannot be part of a CEA.

 (3) The new CEAs are taken to have been created immediately before the disturbance event began.

22  Re-stratification due to change in management regime

 (1) This section applies if:

 (a) the project proponent proposes to undertake one or more management actions in one part of a CEA and not in another part; and

 (b) the CEA has been reported on in an offsets report.

 (2) However, if the proponent proposes to undertake different management actions in different parts of the CEA as a consequence of a disturbance event, this section does not apply.

Note: In that case, section 21 applies instead.

 (3) The project proponent may undertake the actions as proposed only if:

 (a) the proponent is permitted, under section 31, to change the management regime in order to undertake the proposed actions; and

 (b) the proponent first creates new CEAs as proposed in accordance with paragraph 31(4)(a).

Note: The proponent is also required to create management schedules for the new CEAs. See section 29.

 (4) The new CEAs are taken to have been created immediately before a management action mentioned in subsection (1) is applied in any part of the CEA.

23  Restratification to remove area that is no longer suitable for plantation

 (1) This section applies if there is evidence that demonstrates that the growth of trees in a CEA, or in part of the CEA, has been, and is likely to remain, insufficient for the area to be a commercially viable part of the project’s plantations.

 (2) The project proponent may restratify the area of land covered by the CEA so that the land to which subsection (1) applies is no longer part of any CEA.

 (3) The re-stratification must occur, or be taken to have occurred:

 (a) at the beginning of a reporting period; or

 (b) between rotations; or

 (c) immediately before a disturbance event.

Note: Any carbon stored in the area removed from the CEA will no longer contribute to the project.

Division 6—Management regimes

24  Management actions and when they occur

Management actions

 (1) For this determination, the following are the management actions:

 (a) planting;

 (b) seeding;

 (c) coppicing;

 (d) fertilisation;

 (e) weed control;

 (f) pruning;

 (g) thinning without harvest;

 (h) thinning with harvest;

 (i) controlled burn;

 (j) salvage harvesting;

 (k) clearfelling without harvest;

 (l) clearfelling with harvest;

 (m) chopper rolling;

 (n) windrow and burn.

Note: The definitions of ‘pruned’ and ‘thinned’ in subsection 14(3) do not apply in relation to the actions referred to in paragraphs (f), (g) and (h). The meanings of these terms, when used to refer to management actions, are set out in the FullCAM guidelines—see subsection (3).

 In relation to paragraph (i), a fire that begins as a controlled burn (and so is not intended to kill trees), but has the effect of killing one or more trees, is not a controlled burn, and is not treated as a management action—see subsection (4). If the fire affects more than 5% of the area covered by the CEA, it is treated as a disturbance event—see paragraph 25(1)(a).

 There will normally be a harvest after a clearfelling; however, paragraph (k) allows for the case where a rotation is ended early after a natural disturbance that is so severe, or so early in the rotation, as to make harvesting uneconomic.

 (2) For this determination, the application of a management action in a CEA or other area may be treated as a single management action only if the period of application is no longer than:

 (a) for planting, seeding or coppicing—the period required to establish a rotation; and

 (b) for any other management action—12 months.

 (3) Subject to this determination, terms used in subsection (1) have the meaning given in the FullCAM guidelines.

 (4) For subsection (1):

 (a) thinning and clearfelling occur with harvest if there is any significant recovery of forest product; and

 (b) clearfelling means the cutting down of all trees in the relevant area; and

 (c) controlled burn does not include a fire that kills one or more trees; and

 (d) salvage harvesting means harvesting that:

 (i) is undertaken:

 (A) after a disturbance event; and

 (B) across the entire area that was affected by the disturbance event; and

 (ii) results in any significant forest product recovery.

 (5) Salvage harvesting may be undertaken in a CEA only following a fire or natural disturbance that affects the whole of the CEA.

Note: For a fire or natural disturbance that affects only part of a CEA, it would be necessary first to restratify the CEA in accordance with section 21 before salvage harvesting could be carried out.

  Salvage harvesting is not available in relation to a modelled natural disturbance in a baseline scenario simulation.

The starting date for a rotation

 (6) The starting date for a rotation of a plantation forest in a CEA or other area is the following:

 (a) if the rotation was begun by planting or seeding—the planting date given by subsection (7);

 (b) if the rotation was begun by coppicing—the date of the coppicing given by subsection (8).

When planting or seeding occurs

 (7) The action of planting or seeding for a rotation of a plantation forest is taken to occur on the following date (the planting date):

 (a) if:

 (i) the planting or seeding, for the rotation, of the entire area (the initial planting) is completed within a 6month period; and

 (ii) at least 80% of trees survived the initial planting;

  the date when the initial planting is completed (even if trees that do not survive the initial planting are replaced after that date, or after the end of that 6month period);

 (b) otherwise—the date when all planting or seeding of trees for the rotation, including replacement of those that do not survive, is completed.

When coppicing occurs

 (8) The action of coppicing to start a rotation in a CEA or other area is taken to occur 6 months after the previous clearfelling.

When salvage harvesting occurs

 (9) The action of salvage harvesting in a CEA or other area is taken to occur:

 (a) if the action follows a fire—30 days after the date the fire is taken to have occurred; and

 (b) if the action follows another disturbance event—on the date the event is taken to have occurred.

Note: See paragraph 25(3)(a) for when fires and other disturbance events are taken to have occurred.

When other management actions occur

 (10) A management action other than planting, seeding, coppicing or salvage harvesting is taken to occur as follows:

 (a) if the management action occurs on a single date—on that date;

 (b) if the management action occurs over 2 or more dates—the first of those dates.

Note: See also section 58.

25  Disturbance events and when they occur

 (1) For this determination, the following are the disturbance events that apply to an area that is, or is part of, a CEA:

 (a) a fire, other than a controlled burn, that affects more than 5% of the CEA (whether or not trees are killed);

 (b) a natural disturbance, other than a fire, that:

 (i) kills one or more trees; and

 (ii) affects more than 5% of the CEA;

 (c) a failure of the CEA to satisfy the forest development condition at the end of a reporting period.

The forest development condition

 (2) For this determination, a CEA satisfies the forest development condition at the end of a reporting period if, at the end of the period:

 (a) the CEA has forest cover; or

 (b) the CEA is between rotations; or

 (c) for a reporting period that was wholly within a single rotation­the vegetation in the CEA has progressed towards achieving forest cover since the beginning of the reporting period; or

 (d) for a reporting period during which a new rotation started:

 (i) it is less than 6 months since the new rotation started; or

 (ii) the vegetation in the CEA has progressed towards achieving forest cover during the new rotation; or

 (e) for a reporting period during which a disturbance event mentioned in paragraphs (1)(a) or (b) occurred:

 (i) it is less than 6 months since the disturbance event; or

 (ii) the vegetation in the CEA has progressed towards achieving forest cover since the disturbance event.

When disturbance events occur

 (3) A disturbance event is taken to occur as follows:

 (a) for a fire, or a natural disturbance other than a fire:

 (i) the day the fire or natural disturbance began, if known; or

 (ii) otherwise—the day the fire or natural disturbance was identified;

 (b) for a failure to satisfy the forest development condition in a reporting periodthe latest of the following dates:

 (i) the beginning of the reporting period;

 (ii) if a new rotation started during the reporting period—the starting date of the rotation;

 (iii) if another disturbance event occurred during the reporting period—the date  of the disturbance event.

26  Requirement for a management schedule

 (1) For each CEA, the project proponent must create and maintain a management schedule.

 (2) The management schedule is a document that sets out the following, as at a specified date:

 (a) the management record, consisting of a record of each management action and disturbance event in the CEA since the plantation start date (including actions and events occurring between rotations);

 (b) the current management regime (see section 28);

Note: This can be set out by referring to the management record entries for actions and events that have already occurred, and specifying the set of management actions and times, and the rotation period, that the project proponent proposes to apply in the remainder of the rotation.

 (c) the default management regime (see section 28);

Note: This will be the same as the current management regime unless there has been a disturbance event during the rotation.

 (d) if the default management regime is different from the default management regime in the management schedule as at the end of the previous reporting period—the reasons for the change;

Note: This will reflect a change in the way it is planned to manage a rotation.

 (e) if the CEA is a conversion CEAthe default baseline management regime for the CEA (see section 30);

 (f) for each management action and disturbance event listed in the management record or in a management regime:

 (i) the time of the action or event in relation to the starting date for the rotation; and

 (ii) the appropriate FullCAM event type and FullCAM standard event as listed in the FullCAM guidelines; and

 (iii) the parameter values entered, or expected to be entered, into FullCAM, where these are not the defaults;

 (g) for each disturbance event listed in the management record—a description of the underlying natural disturbance or growth interruption.

Note: The management record and the default, current and default baseline management regimes are used to model rotations in scenarios under Part 4. In the modelling, a period of 12 months is assumed between future rotations.

 (3) The first management schedule for a project must be created before the first scenario simulation is created in accordance with section 35.

 (4) The rotation period under the current management regime and the default management regime must be:

 (a) for a species listed in Schedule 2—not greater than the maximum clearfell age listed for the species; and

 (b) for any other species—not greater than 60 years.

Note 1: For the purposes of modelling, a period of 12 months between rotations is assumed—see sections 38 and 39.

Note 2: For a conversion CEA, there is also a minimum rotation period—see section 14.

27  Updating a management schedule

 (1) Before modelling is undertaken in accordance with Part 4 for an offsets report, the project proponent must prepare or update the management schedule for each CEA as at the end of the reporting period, in accordance with this Division.

 (2) If the project proponent proposes to undertake an action that is inconsistent with the current management regime in the management schedule for a CEA, the schedule must be updated before the inconsistent action, in accordance with this Division.

 (3) If a management action is applied or a disturbance event occurs in a CEA, the management record must be updated as soon as practicable.

 (4) For subsection (2), action includes the following:

 (a) undertaking a scheduled management action (such as thinning or harvest) at a different time to the time scheduled;

 (b) undertaking a management action not scheduled in the current management regime;

 (c) not undertaking a management action that is scheduled in the current management regime;

 (d) undertaking one or more management actions in one part of a CEA and not in another part.

28  The current management regime and the default management regime

 (1) At a time during a rotation for a CEA, the current management regime is the management regime consisting of:

 (a) the choice of species and the set of management actions already applied and disturbance events that have already occurred during the rotation; and

 (b) the set of management actions and their times, and the rotation period, that the project proponent proposes to apply in the remainder of the rotation.

 (2) At a time during a rotation for a CEA, the default management regime is:

 (a) unless paragraph (b) applies—the same as the current management regime; and

 (b) if the CEA has been subject to a disturbance event during the rotation—the same as the current management regime as it stood immediately before the first disturbance event of the rotation.

 (3) At a time between rotations for a CEA, the current management regime and the default management regime are both the same as the default management regime as it stood at the end of the previous rotation.

29  Management schedule for a re-stratified CEA

 (1) If a CEA is re-stratified, a new management schedule must be prepared for each new CEA as soon as practicable, in accordance with this Division.

 (2) The new management schedule must set out the same details of management actions already undertaken and disturbance events that have occurred, up to the date of creation of the CEA.

 (3) The default management regime for the CEA in the new management schedule must be the same as the default management regime for the original CEA immediately before the re-stratification.

Note: If the project proponent wishes to change the default management regime, the proponent must first create the new management schedule that complies with this section, and then vary it in accordance with section 27.

 (4) In applying paragraph 26(2)(d), the comparison is to be made with the default management regime in the management schedule made for the original CEA for the end of the previous reporting period.

Note: For a conversion CEA, the default baseline management regime depends only on the situation at the eligibility date for the CEA, and so will be the same for the new CEA.

30  The default baseline management regime (conversion CEA)

 (1) This section applies to a conversion CEA.

 (2) For this determination, the default baseline management regime for the CEA is the management regime for the CEA that is specified by the elements indicated in the following table:

 

Default baseline management regime

Item

Element of management regime

If a rotation was not in progress on the eligibility date:

If a rotation was in progress on the eligibility date:

1

Choice of species

The choice of species that was applied in the last rotation that was completed before the eligibility date (the completed rotation)

The choice of species that was applied, prior to the eligibility date, in the rotation that was in progress on the eligibility date (the ongoing rotation)

2

Rotation period

The baseline rotation period

The baseline rotation period

3

Management actions

Whichever of the following applies:

(a) if there were no disturbance events in the completed rotation—the management actions that were applied in the completed rotation;

(b) if there were one or more disturbance events in the completed rotationthe management actions that would have been applied in the normal course of the completed rotation

Whichever of the following applies:

(a) if, before the eligibility date, there were no disturbance events in the ongoing rotation—the following:

 (i) the management actions that were applied in the rotation before the eligibility date;

 (ii) the management actions that would have been applied in the normal course of the rotation after the eligibility date;

(b) if, before the eligibility date, there were one or more disturbance events  in the ongoing rotationthe management actions that would have been applied in the normal course of the ongoing rotation

4

Disturbance events

None

None

 (3) For this section, a set of management actions is taken to be one that would have been applied in the normal course of a rotation if it can be demonstrated that:

 (a) the actions were taken at the corresponding stages of previous rotations of the plantation, in circumstances that were not unusual; or

 (b) they are commonly taken in such plantations in the region at those stages of the rotation.

31  Assessing a proposed change to a management regime

 (1) This section applies if:

 (a) the project proponent proposes, during a rotation in a CEA, to undertake an action that is inconsistent with the current management regime in the management schedule; and

 (b) the CEA has been reported on in an offsets report.

 (2) For this section, action includes the following:

 (a) undertaking a scheduled management action (such as thinning or harvest) at a different time to the time scheduled;

 (b) undertaking a management action not scheduled in the current management regime;

 (c) not undertaking a management action that is scheduled in the current management regime;

 (d) undertaking one or more management actions in one part of a CEA and not in another part.

 (3) However, if the CEA is affected by a disturbance event, this section does not apply for the remainder of the rotation.

 (4) Before taking the action, the project proponent must:

 (a) if the action is of a kind referred to in paragraph (2)(d)—propose a division of the CEA into 2 or more CEAs, each of which meets the requirements of section 18; and

 (b) assess:

 (i) the net abatement amount for the project for the current reporting period that would be produced if the action were taken, as calculated under Part 4 (the proposed abatement); and

 (ii) if the proposed abatement is less than zerothe net abatement amount for the project for the current reporting period that would be produced if the action were not taken, as calculated under Part 4 (the default abatement).

Note 1: In relation to paragraph (4)(a), because of subsection 18(3), each such CEA must be one that has been, and is expected to continue to be, subject to a single management regime. If an area with a single management regime has an area less than 0.2 hectares, it cannot be part of a CEA.

Note 2: In assessing the proposed abatement, the calculation under Part 4 would model the project and long-term project scenarios on the basis of a current regime and a default regime that both included the proposed CEAs and the proposed actions.

 (5) The project proponent may take the action only if:

 (a) the proposed abatement is greater than, or equal to, zero; or

 (b) if paragraph (a) is not satisfied—the proposed abatement is greater than, or equal to, the default abatement; or

 (c) if neither paragraph (a) nor paragraph (b) is satisfied—the longterm net average carbon stock as calculated when calculating the proposed abatement is greater than, or equal to, the longterm net average carbon stock as calculated when calculating the default abatement.

Note: In assessing the proposed abatement, the calculation under Part 4 would model the project and long-term project scenarios on the basis of a current management regime and a default management regime that both included the proposed action.

 (6) For paragraph (5)(c), the longterm net average carbon stock is the amount given by equation 8 in Subdivision 3 of Division 3 of Part 4.

Note: The project proponent will have calculated the relevant longterm net average carbon stocks when calculating the proposed abatement and the default abatement.

Division 7—Newness and additionality

32  Newness requirement

  For subparagraph 27(4A)(a)(ii) of the Act, a requirement in lieu of the newness requirement for a plantation forest project is that the project complies with subparagraph 27(4A)(a)(i) of the Act, disregarding the preparation of any management schedule before a management action commences.

 

Part 4—Net abatement amount

Division 1—Preliminary

33  Operation of this Part

  For paragraph 106(1)(c) of the Act, this Part specifies the method for working out the carbon dioxide equivalent net abatement amount for a reporting period for a plantation forest project that is an eligible offsets project.

Note: In this determination, this is called the net abatement amount for the project for the reporting period (see section 5).

34  Overview of gases accounted for in abatement calculations

  The following table provides an overview of the greenhouse gases and emissions sources that are relevant to working out the net abatement amount for a plantation forest project in a reporting period.

 

Greenhouse gases and emissions sources

 

Emissions source

Greenhouse gas

Carbon pool or emissions source

Live above ground biomass

Carbon dioxide (CO2)

Live below ground biomass

Carbon dioxide (CO2)

Debris

Carbon dioxide (CO2)

Forest products

Carbon dioxide (CO2)

Fuel use

Carbon dioxide (CO2)

Methane (CH4)

Nitrous oxide (N2O)

Action or event

Fire—controlled burn and natural disturbance

Methane (CH4)

Nitrous oxide (N2O)

Fertilisation

Nitrous oxide (N2O)

Non-fire disturbances

Carbon dioxide (CO2)

 

Management actions other than controlled burn and fertilisation

Carbon dioxide (CO2)

 

Division 2—FullCAM Modelling

Subdivision 1—General

35  Modelling scenarios in FullCAM

 (1) For each offsets report, the project proponent must create and run, for each CEA in existence at the end of the reporting period:

 (a) the project scenario simulation; and

 (b) the long-term project scenario simulation.

 (2) For a conversion CEA, the project proponent must also model the baseline scenario.

 (3) Each scenario simulation must be created and run as a FullCAM simulation, in accordance with this Division and the FullCAM guidelines.

Note: The FullCAM guidelines set out how a management action or disturbance event is to be modelled in terms of FullCAM events.

 (4) Each scenario simulation must be created and run in the 90-day period before an offsets report is submitted to the Regulator.

36  Meaning of relevant management actions, disturbance events and natural disturbances

  For this Division, a management action, disturbance event or natural disturbance is relevant in relation to a particular reporting period if it is recorded in the management record of the management schedule as at the end of that reporting period (whether or not it occurred while a rotation was underway).

Subdivision 2—Project scenario

37  Modelling project scenario

  The project scenario simulation for a CEA in a reporting period is a FullCAM simulation that:

 (a) begins on the day before the plantation start date; and

 (b) ends on the last day of the reporting period; and

 (c) simulates all of the relevant management actions and disturbance events up to the last day of the reporting period.

Subdivision 3Long-term project scenario

38  Modelling long-term project scenario

 (1) The long-term project scenario simulation for a CEA in a reporting period is a FullCAM simulation that:

 (a) begins on the day before the plantation start date; and

 (b) ends on the last day of the modelling period; and

 (c) simulates:

 (i) up to the last day of the reporting period—all of the management actions and disturbance events in the management record; and

 (ii) after the last day of the reporting period:

 (A) if a rotation is not underway at the end of the reporting period—the default management actions; and

 (B) if a rotation is underway at the end of the reporting periodthe management actions of the current management regime for the remainder of the rotation, followed by the default management actions.

Note: The simulation does not model any disturbance events, nor any management actions occurring between rotations, after the last day of the reporting period.

 (2) For subparagraph (1)(c)(ii), the default management actions are the management actions of the default management regime, recurring with a period of 12 months between rotations.

Subdivision 4Baseline scenario

39  Modelling baseline scenario

 (1) The baseline scenario simulation for a conversion CEA at a particular time (either the plantation start date or the end of  a reporting period) is the FullCAM simulation that:

 (a) begins on the day before the plantation start date; and

 (b) ends on the last day of the modelling period; and

 (c) subject to subsection (2), simulates:

 (i) the management actions of the default baseline management regime, recurring with a period of 12 months between rotations; and

 (ii) any natural disturbance that has occurred at the time of the simulation, at the time that it occurred.

Note 1: The simulation does not model any management actions between rotations.

Note 2: For subparagraph (c)(ii), the simulation models only natural disturbances at the times that they actually occurred. Disturbance events are not modelled as recurring in future rotations.

 (2) If a natural disturbance modelled in the simulation occurs at such a time in the rotation and is of such a character that is reasonable to conclude that in practice it would result in an early end to the rotation, the simulation must include that early end.

Note: For subsection (2), only a thinning without harvest is able to be modelled to end the rotation. The project proponent is not able to model a salvage harvest following the natural disturbance.

Division 3—Calculations

Subdivision 1—Preliminary

40  Operation of Division

 (1) This Division sets out the steps required to calculate the net abatement amount for a reporting period for a plantation forest project.

 (2) A reference in this Division to the ith CEA is a reference to a CEA of the project that is in existence at the end of the reporting period.

Subdivision 2Baseline net carbon stock­—conversion CEAs

41  Baseline carbon stock and baseline emissions in a conversion CEA

Note: The baseline carbon stock and emissions are re-calculated for each offsets report.  They can change slightly as the baseline scenario simulation will include any disturbance events that have occurred since the last simulation. 

 (1) If the ith CEA of the project is a new plantation CEA or a maintenance CEA, the baseline carbon stock () and baseline emissions from biomass burning () for the ith CEA are equal to zero.

 (2) If the ith CEA of the project is a conversion CEA:

 (a) the baseline carbon stock for the CEA for the reporting period () (in tonnes CO2e) is calculated using equation 1; and

 (b) the baseline emissions from biomass burning for the CEA for the reporting period () (in tonnes CO2e) is calculated using equation 2.

 (3) For paragraph (2)(a), the equation is the following:

Equation 1

  where:

is the C mass in debris pools (in tonnes C per hectare) for the ith CEA in the kth month since the modelling start date—from the baseline scenario simulation.

is the C mass of trees (in tonnes C per hectare) for the ith CEA in the kth month since the modelling start date—from the baseline scenario simulation.

is the C mass in forest products (in tonnes C per hectare) for the ith CEA in the kth month since the modelling start date—from the baseline scenario simulation.

is the area (in hectares) of the ith CEA.

Note: The baseline management regime is modelled to determine the elements CBD,i,k , CBT,i,k and CFP,B,i,k of the baseline carbon stock for a CEA.

 (4) For paragraph (2)(b), the equation is the following:

Equation 2

  where:

represents the greenhouse gases methane (CH4) and nitrous oxide (N2O).

is the global warming potential for greenhouse gas , as specified in the NGER Regulations.

is the mass of greenhouse gas (in tonnes per hectare for methane and in kilograms per hectare for nitrous oxide) emitted due to biomass burning in the ith CEA in the kth month since the modelling start date—from the baseline scenario simulation.

is a conversion factor for greenhouse gas , and is equal to:

 (a) for methane (CH4)—1; and

 (b) for nitrous oxide (N2O)—0.001.

Note: Because the FullCAM output for N2O emitted is in kilograms per hectare, equation 2 includes the conversion factor CFg to convert the result into tonnes per hectare for nitrous oxide.

is the area (in hectares) of the ith CEA.

42  Baseline net carbon stock for whole project

Note: The baseline net carbon stock will be equal to zero unless the project includes CEAs converting from short-rotation to long-rotation plantations.

  The baseline net carbon stock () (in tonnes CO2e) for the project is calculated using the following formula:

Equation 3

  where:

I is the number of CEAs in the project area.

is the baseline carbon stock (in tonnes CO2e) for the ith CEA—from section 41.

is the baseline emissions from biomass burning (in tonnes CO2e) for the ith CEA—from section 41.

Subdivision 3Long-term average net carbon stock

43  Predicted long-term average carbon stock and project emissions in a CEA

Note: The predicted long-term average carbon stock is re-calculated for each offsets report.  It can change slightly as the long-term project scenario simulation will replace predicted events with actual events for the time since the last simulation.

Predicted long-term average carbon stock

 (1) The predicted long-term average project carbon stock for the modelling period for the ith CEA () (in tonnes CO2e) is calculated using the following formula:

Equation 4

  where:

is the predicted C mass in debris pools (in tonnes C per hectare) for the ith CEA in the kth month since the modelling start date—from the long-term project scenario simulation.

is the predicted C mass of trees (in tonnes C per hectare) for the ith CEA in the kth month since the modelling start date—from the long-term project scenario simulation.

is the predicted C mass in forest products (in tonnes C per hectare) for the ith CEA in the kth month since the modelling start date—from the longterm project scenario simulation.

is the area (in hectares) of the ith CEA.

Emissions from biomass burning for longterm project scenario simulation

 (2) The emissions for the modelling period from biomass burning for the ith CEA (EP,Fire,i) (in tonnes CO2e) is calculated using the following formula:

Equation 5

  where:

represents the greenhouse gases methane (CH4) and nitrous oxide (N2O).

is the global warming potential for greenhouse gas , as specified in the NGER Regulations.

is the mass of greenhouse gas (in tonnes per hectare for methane and in kilograms per hectare for nitrous oxide) emitted due to biomass burning in the ith CEA in the kth month since the modelling start date from the longterm project scenario simulation.

is a conversion factor for greenhouse gas , and is equal to:

 (a) for methane (CH4)—1; and

 (b) for nitrous oxide (N2O)—0.001.

Note: Because the FullCAM output for N2O emitted is in kilograms per hectare, equation 5 includes the conversion factor CFg to convert the result into tonnes per hectare for nitrous oxide.

is the area (in hectares) of the ith CEA.

Predicted emissions from fuel used to harvest for longterm project scenario simulation

 (3) Predicted fuel emissions for the project for the ith CEA for the modelling period (EP,Fuel,i) (in tonnes CO2e) are calculated using the following formula:

Equation 6

  where:

H is the number of harvest events in the modelling period—from the longterm scenario simulation.

is:

 (a) if the ith CEA is a conversion CEA—zero; and

 (b) otherwise—the predicted C mass of forest products from harvest event h in the modelling period in the ith CEA (in tonnes C per hectare)—from equation 7.

is the area (in hectares) of the ith CEA.

 (4) For paragraph (b) of the definition of CHarv,i,h in subsection (3), the equation is:

Equation 7

  where:

k is the month of the modelling period in which harvest event h occurred—from the longterm project scenario simulation.

CFP,i,k is the predicted mass of forest products (in tonnes C per hectare) for the ith CEA and for the kth month since the modelling start date—from the long term project scenario simulation.

CFP,i,k  1 is:

 (a) for the first month of the modelling period (k = 1)—zero; and

 (b) for subsequent months (k 2)the predicted mass of forest  products (in tonnes C per hectare) for the ith CEA and for the (k  1)th month since the modelling start date—from the long term project scenario simulation.

44  Predicted long-term average net carbon stock for whole project

  The predicted long-term average net carbon stock for the project () (in tonnes CO2e) is calculated using the following formula:

Equation 8

  where:

I is the number of CEAs in the project area.

is the predicted long-term average project carbon stock (in tonnes CO2e) for the ith CEA—from equation 4.

is the emissions from biomass burning for the modelling period for the ith CEA (in tonnes CO2e)—from equation 5.

is the predicted fuel emissions for the modelling period for the ith CEA (in tonnes CO2e)—from equation 6.

Note: Where the project consists only of conversion CEAs, emissions from fossil fuel (EP,Fuel,i) will be equal to zero.

Subdivision 4Net carbon stock change in a reporting period

45  Calculating net carbon stock in CEA the end of reporting period

Carbon stock in ith CEA at end of reporting period—new plantation or maintenance CEA

 (1) If the ith CEA is a new plantation CEA or a maintenance CEA, its carbon dioxide equivalent carbon stock at the end of the reporting period (CP,i) (in tonnes CO2e) is calculated using the following formula:

Equation 9

  where:

is the C mass in debris pools (in tonnes C per hectare) for the ith CEA in the last month of the reporting period—from the project scenario simulation.

is the C mass of trees (in tonnes C per hectare) for the ith CEA in the last month of the reporting period—from the project scenario simulation.

is the area (in hectares) of the ith CEA.

Carbon stock in ith CEA at end of reporting period—conversion CEA

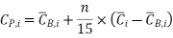
 (2) If the ith CEA is a conversion CEA, its carbon dioxide equivalent carbon stock at the end of the reporting period (CP,i) (in tonnes CO2e) is calculated using the following formula:

Equation 10

  where:

is the baseline carbon stock for the ith CEA—from equation 1.

n is:

 (a) if fewer than 15 years have been completed since the beginning of the crediting period—the number of years completed; and

 (b) otherwise—15.

is the predicted long-term average project carbon stock for the modelling period for the ith CEA —from equation 4.

Note: Essentially, the effect of this equation is to credit the proponent with 1/15 of the expected increase in the long-term average quantity of sequestered carbon in the CEA in each of the first 15 years of the project. In practice, the amounts credited are likely to vary slightly from one reporting period to the next because and are re-calculated for each reporting period, and the scenarios used in the calculations are modified to reflect events that occurred during the reporting period.  This recalculation may continue to produce adjustments after the initial period of 15 years.

Emissions from biomass burning for ith CEA at end of reporting period

 (3) The emissions from biomass burning for the ith CEA at the end of the reporting period (EP,Fire,i) (in tonnes CO2e) is calculated using the following formula:

Equation 11

  where:

K is the number of months between the modelling start date and the end of the reporting period.

represents the greenhouse gases methane (CH4) and nitrous oxide (N2O).

is the global warming potential for greenhouse gas , as specified in the NGER Regulations.

is the mass of greenhouse gas per unit area (in tonnes per hectare for methane and in kilograms per hectare for nitrous oxide) emitted due to biomass burning in the ith CEA in the kth month since the modelling start date from the project scenario simulation.

is a conversion factor for greenhouse gas , and is equal to:

 (a) for methane (CH4)—1; and

 (b) for nitrous oxide (N2O)—0.001.

Note: Because the FullCAM output for N2O emitted is in kilograms per hectare, equation 11 includes the conversion factor CFg to convert the result into tonnes per hectare for nitrous oxide.

is the area (in hectares) of the ith CEA.

Emissions from fuel used to harvest at end of reporting period

 (4) The fuel emissions for the project for the ith CEA for the modelling period (EP,Fuel,i) (in tonnes CO2e) are calculated using the following formula:

Equation 12

  where:

H is the number of harvest events that have occurred between the modelling start date and the end of the reporting period.

is:

 (a) if the ith CEA is a conversion CEA—zero; and

 (b) otherwise—the predicted C mass of forest products from harvest event h in the modelling period in the ith CEA (in tonnes C per hectare)—from equation 13.

is the area (in hectares) of the ith CEA.

 (5) For the definition of CHarv,i,h in subsection (3), the equation is:

Equation 13

  where:

k is the month in which harvest event h occurred.

CFP,i,k is the mass of forest products (in tonnes C per hectare) for the ith CEA and for the kth month—from the project scenario simulation.

CFP,i,k  1 is:

 (a) for the first month since the modelling start date (k = 1)—zero; and

 (b) for subsequent months (k 2)—the mass of forest  products (in tonnes C per hectare) for the ith CEA and for the (k  1)th month since the start of the modelling period—from the project scenario simulation.

46  Net carbon stock at the end of reporting period for whole project

  The net carbon stock in the project area at the end of the reporting period (CP) (in tonnes CO2e) is calculated using the following formula:

Equation 14

  where:

I is the number of CEAs in the project area.

is the carbon dioxide equivalent carbon stock in the ith CEA at the end of the reporting period (in tonnes CO2e)—from equation 9 or equation 10, as appropriate.

is the emissions from biomass burning in the ith CEA (in tonnes CO2e)—from equation 11.

EP,Fuel,i is the emissions from fuel in the ith CEA (in tonnes CO2e)—from equation 12.

47  Deemed net carbon stock for project at end of reporting period

  The deemed net carbon stock for the project at the end of reporting period RP, CRP, is whichever of the following the project proponent elects:

 (a) the smaller of (equation 8) and (equation 14);

 (b) another amount that is:

 (i) less than the amount ascertained in accordance with paragraph (a); but

 (ii) no less than an amount elected for any previous reporting period.

48  Net carbon stock change for project in first reporting period under this determination

 (1) For a project that is not a pre-existing project, the net carbon stock change for the first reporting period () (in tonnes CO2e) is calculated using the following equation:

Equation 15

  where:               

is the deemed net carbon stock for the project at the end of the reporting period (in tonnes CO2e)—from section 47.

is the  baseline net carbon stock (in tonnes CO2e) for the project—from equation 3.

Note: can be zero or less than zero because represents a net carbon stock change relative to the baseline ().

 (2) For a pre-existing project, the net carbon stock change for the first reporting period under this determination () (in tonnes CO2e) is calculated using the following equation:

Equation 16

  where:               

is the deemed net carbon stock for the project at the end of the reporting period (in tonnes CO2e)—from section 47.

is the sum of the carbon stocks for each CEA (however described) reported in the relevant offsets report under the former determination mentioned in paragraph 16(4)(b).

Note: can be zero or less than zero because represents a net carbon stock change relative to the carbon stock at the end of the last reporting period under the former determination ().

49  Net carbon stock change for project in later reporting periods

  The net carbon stock change for a reporting period after the first reporting period () (in tonnes CO2e) is calculated using the following equation:

Equation 17

  where:

is the deemed net carbon stock in the project area at the end of the reporting period RP (in tonnes CO2e)—from section 47.

is the deemed net carbon stock in the project area at the end of the previous reporting period RP  1 (in tonnes CO2e), as reported in the offsets report for the previous reporting period.

is the baseline net carbon stock (in tonnes CO2e) for the project for reporting period RP, and is equal to the amount as calculated using equation 3 for the reporting period RP.

is the baseline net carbon stock (in tonnes CO2e) for the project for the previous reporting period, RP  1, and is equal to the amount as calculated using equation 3, and reported in the offsets report, for reporting period RP  1.

Note: If is less than or equal to zero, project carbon stocks are lower than baseline carbon stocks (for a project with conversion CEAs), or lower than the carbon stocks under the former determination (for a pre-existing project) which means that no abatement occurred.

Subdivision 5—Calculation of the net abatement amount

50  Net abatement amount—general rule

 (1) This section applies if:

 (a) the reporting period RP is the first reporting period; or

 (b) the reporting period RP is the second or later reporting period, and the net abatement amount for the project for the previous reporting period RP  1 was zero or greater than zero.

 (2) The net abatement amount for the reporting period RP () (in tonnes CO2e) is calculated using the following formula:

Equation 18

  where:

is the net carbon stock change (in tonnes CO2e) in the project area for the reporting period RP—from equation 15, equation 16 or equation 17.

51  Net abatement amount—where previous net abatement amount negative

 (1) This section applies if the net abatement amount for the project for the previous reporting period RP  1 was less than zero.

 (2) The net abatement amount for the reporting period RP () (in tonnes CO2e) is calculated using the following formula:

Equation 19

  where:

is the carbon stock change (in tonnes CO2e) in the project area for the reporting period RP—from equation 15, equation 16 or equation 17.

is the net abatement amount A (in tonnes CO2e) for the previous reporting period RP  1, as reported in the previous offsets report (which is a negative number).

Part 5—Reporting, recordkeeping and monitoring requirements

Note: The reporting, recordkeeping and monitoring requirements in this Part supplement the general requirements relating to those matters set out in regulations and rules made under the Act.

Division 1—Reporting requirements

52  Operation of this Division

  For paragraph 106(3)(a) of the Act, this Division sets out reporting requirements for a plantation forest project that is an eligible offsets project.

53  Information required in offsets reports

 (1) An offsets report for a reporting period must include:

 (a) a map showing each CEA in the project area; and

 (b) the management schedule for each CEA as at the end of the reporting period; and

 (c) for the first offsets report under this determination— the management schedule for each CEA as at:

 (i) for a CEA whose plantation start date was before the beginning of the crediting period—the beginning of the crediting period; and

 (ii) for any other CEA—the plantation start date for the CEA.

 (2) If, in modelling a management action or disturbance event in FullCAM in accordance with the FullCAM guidelines, the project proponent specified a portion of a CEA affected by a FullCAM event, the offsets report must describe how the portion was estimated.

 (3) If, in the circumstances described in paragraph 6(2)(b), a factor or parameter is defined or calculated for a reporting period by reference to an instrument or writing as in force from time to time, the offsets report about the project for the reporting period must include the following information for the factor or parameter:

 (a) the versions of the instrument or writing used;

 (b) the start and end dates of each use;

 (c) the reasons why it was not possible to define or calculate the factor or parameter by reference to the instrument or writing as in force at the end of the reporting period.

 (4) If a CEA, or part of a CEA, was removed from the project during the reporting period in accordance with section 23, the offsets report must include a summary of the evidence mentioned in subsection 23(1).

Division 2—Recordkeeping requirements

54  Operation of this Division

  For paragraph 106(3)(c) of the Act, this Division sets out recordkeeping requirements for a plantation forest project that is an eligible offsets project.

55  Records relating to salvage harvesting

  If salvage harvesting was undertaken in a CEA during a reporting period, the project proponent must make and keep records that evidence the salvage harvesting and its extent, and any ensuing product recovery.

56  Records relating to monitoring of management actions, natural disturbances and forest development condition

 (1) The project proponent must make and keep records that:

 (a) result from the monitoring of management actions (section 58) and evidence the actions that were undertaken in each CEA; and

 (b) result from the monitoring of natural disturbances (section 59) and evidence each such event and its effect on each CEA; and

 (c) result from the monitoring of the forest development condition (section 60).

 (2) For paragraphs (1)(a) and (b), the records may include datestamped and georeferenced remotely sensed imagery.

 (3) For paragraph (1)(c), the records must include:

 (a) date-stamped and geo-referenced time-series ground-based photography; or

 (b) date-stamped and geo-referenced time-series remotely sensed imagery; or

 (c) permanent plot data.

Division 3Monitoring requirements

57  Operation of this Division

  For paragraph 106(3)(d) of the Act, this Division sets out monitoring requirements for a plantation forest project that is an eligible offsets project.

58  Monitoring management actions

  The project proponent must monitor management actions required or permitted for each CEA under this determination.

59  Monitoring natural disturbances

  The project proponent must monitor any natural disturbance event that affects a CEA.

60  Monitoring forest development

  The project proponent must undertake sufficient monitoring to assess whether the forest development condition is satisfied.

Part 6—Dividing a plantation forest project

61  No division of carbon estimation area

  For subsection 77A(2) of the Act, the division of the overall project must not result in the division of:

 (a) a CEA; or

 (b) an area that was formerly a CEA for the project.

 

Schedule 1Short-rotation plantation forests

Note: This Schedule is relevant only if one of the project activities of a project is the conversion of a short-rotation plantation forest to a longrotation plantation forest.  See subsection 14(2).

 For a conversion CEA, the plantation must, for the 7 years leading up to the eligibility date, have used only species listed in this Schedule in relation to the region.  If a rotation is in progress on the eligibility date and the species being used is one listed in Part 2 of this Schedule, there is the additional requirement that there must already have been at least one short rotation of the plantation forest using the same species.

Part 1—Plantations that can be presumed to have a short rotation

 

Category

National plantation inventory region

Species

Maximum clearfell age (years)

Clearfell age default (years)

1

Western Australia

Eucalyptus globulus

21

13

2

Mt Lofty Ranges & Kangaroo Island

Eucalyptus globulus

21

13

3

Green Triangle

Eucalyptus globulus

21

13

4

North Queensland

Eucalyptus dunnii

21

15

5

South East Queensland

Eucalyptus dunnii

21

13

6

North Coast

Eucalyptus dunnii

21

13

7

Central Victoria

Eucalyptus globulus

21

13

8

Central Victoria

Eucalyptus nitens

21

13

9

Central Gippsland

Eucalyptus globulus

21

13

10

Central Gippsland

Eucalyptus nitens

21

13

11

East Gippsland - Bombala

Eucalyptus globulus

21

13

12

East Gippsland - Bombala

Eucalyptus nitens

21

13

 

Part 2—Plantations for which additional evidence is required

 

Category

National plantation inventory region

Species

Maximum clearfell age (years)

Clearfell age default (years)

13

Northern Tablelands

Eucalyptus nitens

21

15

14

Murray Valley

Eucalyptus globulus

21

14

15

Murray Valley

Eucalyptus nitens

21

14

16

Tasmania

Eucalyptus globulus

21

11

17

Tasmania

Eucalyptus nitens

21

16

 

 

 

Schedule 2Specified longrotation plantation forests

Note: In relation to a plantation forest in a conversion CEA in a national plantation inventory region, this Schedule lists the species that must be used when the long rotation is planted or seeded (see paragraph 17(4)(a)).

  In relation to a plantation forest in any CEA, (whether new plantation, conversion or maintenance), this Schedule lists maximum rotation lengths for the specified species and national plantation inventory regions (see paragraph 26(4)(a)).

 

National plantation inventory region

Species

Harvest upper age limit (years)

Western Australia

Eucalyptus cladocalyx

45

 

Eucalyptus grandis

45

 

Eucalyptus saligna

45

 

Corymbia maculata

45

 

Corymbia citriodora

45

 

Pinus radiata

40

 

Pinus pinaster

50

Mount Lofty & Kangaroo Island

Corymbia maculata

45

 

Pinus radiata

40

Green Triangle

Pinus radiata

40

North Queensland

Eucalyptus pellita

55

 

Tectona grandis

55

 

Pinus caribaea

40

 

Pinus elliottii

40

 

Pinus caribaea Pinus elliottii

40

 

Araucaria cunninghamii

60

South East Queensland

Corymbia citriodora

55

 

Pinus caribaea

40

 

Pinus elliottii

40

 

Pinus caribaea Pinus elliottii

40

 

Araucaria bidwillii

60

 

Araucaria cunninghamii

60

Northern Tablelands

Pinus elliottii

40

 

Pinus radiata

40

North Coast

Eucalyptus grandis

44

 

Corymbia maculata

55

 

Corymbia citriodora

55

 

Eucalyptus pilularis

44

 

Eucalyptus saligna

44

 

Eucalyptus cloeziana

50

 

Pinus elliottii

40

 

Pinus caribaea

40

 

Pinus caribaea Pinus elliottii

40

 

Pinus taeda

40

 

Araucaria bidwillii

40

 

Araucaria cunninghamii

60

Central Tablelands

Pinus radiata

40

Southern Tablelands

Pinus radiata

40

Murray Valley

Pinus radiata

40

Central Victoria

Pinus radiata

40

Central Gippsland

Eucalyptus regnans

50

 

Pinus radiata

40

East Gippsland – Bombala

Pinus radiata

40

Tasmania

Pinus radiata

40

 

 

 

 

 

 

 

 

 

 

 

 

 

 

 

 

 

 

 

 

 

 

 

 

 

 

 

 

 

 

 

Schedule 3Excluded national plantation inventory regions for certain plantation types

Note: See section 10.

 

Plantation Type

Excluded national plantation inventory region

Khaya senegalensis

Northern Territory

Santalum album

All